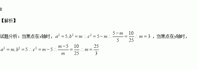
精英家教网 > 高中数学 > 题目详情

已知椭圆=1的离心率e=,则m的值为()

A.3 B.或 3 C. D.

练习册系列答案
相关习题

科目:高中数学 来源:2015-2016学年云南省昭通市高二上9月月考试数学试卷(解析版) 题型:选择题

(2012秋•翁牛特旗校级期末)直线x﹣y+4=0被圆x2+y2+4x﹣4y+6=0截得的弦长等于( )

A. B. C. D.

查看答案和解析>>

科目:高中数学 来源:2015-2016学年吉林省高二上11月月考文科数学试卷(解析版) 题型:解答题

(2015秋•吉林校级月考)已知函数f(x)=2x2﹣(a+2)x+a.

(Ⅰ)当a>0时,求关于x的不等式f(x)>0解集;

(Ⅱ)当x>1时,若f(x)≥﹣1恒成立,求实数a的最大值.

查看答案和解析>>

科目:高中数学 来源:2015-2016学年河南省高二上12月月考文科数学试卷(解析版) 题型:解答题

(2013秋•郊区校级期末)已知函数f(x)=x2+xlnx.

(1)求f′(x);

(2)求函数f(x)图象上的点P(1,1)处的切线方程.

查看答案和解析>>

科目:高中数学 来源:2015-2016学年广东省顺德市高二上第二次段考文科数学试卷(解析版) 题型:选择题

(2012•靖宇县校级模拟)三棱锥P﹣ABC的高为PH,若三个侧面两两垂直,则H为△ABC的( )

A.内心 B.外心 C.垂心 D.重心

查看答案和解析>>

科目:高中数学 来源:2015-2016学年山东省乐陵市高一上学期期中考试数学试卷(解析版) 题型:填空题

函数的图象恒过定点_____________.

查看答案和解析>>

科目:高中数学 来源:2015-2016学年江西省南昌市高一10月月考数学试卷(解析版) 题型:选择题

函数f(x)=4x2-mx+5在区间[-2,+∞]上是增函数,在区间(-∞,-2)上是减函数,则

f(1)等于( )

A.-7 B.1 C.17 D.25

查看答案和解析>>

科目:高中数学 来源:2016届江苏省高三上第十八周周练数学试卷(解析版) 题型:填空题

某校高一年级有900名学生,其中女生400名,按男女比例用分层抽样的方法,从该年级学生

中抽取一个容量为45的样本,则应抽取的男生人数为________.

查看答案和解析>>

科目:高中数学 来源:2016届江苏省高三12月月考数学试卷(解析版) 题型:填空题

已知三个球的半径满足,记它们的表面积分别为,若,则

查看答案和解析>>

同步练习册答案