精英家教网 > 高中数学 > 题目详情

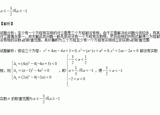
已知下列三个方程:至少有一个方程有实数根.求实数的取值范围.

练习册系列答案
相关习题

科目:高中数学 来源:2015-2016学年江西省高二3月月考文科数学试卷(解析版) 题型:选择题

函数的定义域为开区间,导函数内的图象如图所示,则函数在开区间内有极小值点( )

(A)1个

(B)2个

(C)3个

(D)4个

查看答案和解析>>

科目:高中数学 来源:2015-2016学年安徽省高二下学期第一次检测文科数学试卷(解析版) 题型:选择题

如果椭圆的弦被点(4,2)平分,则这条弦所在的直线方程是( )

A. B.

C. D.

查看答案和解析>>

科目:高中数学 来源:2015-2016学年安徽省高二下学期第一次检测理科数学试卷(解析版) 题型:选择题

已知函数的导函数,则( )

A.0 B.8 C.2014 D.2015

查看答案和解析>>

科目:高中数学 来源:2015-2016学年安徽省高二下学期第一次检测理科数学试卷(解析版) 题型:选择题

已知上的可导函数的图象如图所示,则不等式的解集为( )

A. B.

C. D.

查看答案和解析>>

科目:高中数学 来源:2015-2016学年广东省东莞市南开实验高二下期初考试文科数学试卷(解析版) 题型:填空题

已知函数f(x)满足:,4f(x)f(y)=f(x+y)+f(x﹣y)(x,y∈R),则f(2010)=

查看答案和解析>>

科目:高中数学 来源:2015-2016学年广东省东莞市南开实验高二下期初考试文科数学试卷(解析版) 题型:选择题

“∵四边形ABCD是矩形,∴四边形ABCD的对角线相等”,补充以上推理的大前提是( )

A. 正方形都是对角线相等的四边形

B. 矩形都是对角线相等的四边形

C. 等腰梯形都是对角线相等的四边形

D. 矩形都是对边平行且相等的四边形

查看答案和解析>>

科目:高中数学 来源:2015-2016学年山东省高二下学期第一次月考文科数学试卷(解析版) 题型:填空题

已知复数z1=m+2i,z2=3﹣4i,若为实数,则实数m的值为

查看答案和解析>>

科目:高中数学 来源:2015-2016学年广东省东莞市南开实验高二下期初考试理科数学试卷(解析版) 题型:解答题

用分析法证明:若,则.

查看答案和解析>>

同步练习册答案