精英家教网 > 高中数学 > 题目详情

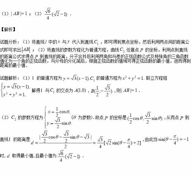
已知直线为参数),曲线为参数).

(1)设相交于两点,求

(2)若把曲线上各点的横坐标压缩为原来的,纵坐标压缩为原来的,得到曲线,设点是曲线上的一个动点,求它的直线的距离的最小值.

练习册系列答案
相关习题

科目:高中数学 来源:2015-2016学年湖南长郡中学高二下第一次检测理数学卷(解析版) 题型:解答题

已知函数在其定义域内有两个不同的极值点.

(1)求的取值范围;

(2)记两个极值点分别为,且,已知,若不等式恒成立,求的范围.

查看答案和解析>>

科目:高中数学 来源:2015-2016学年湖南师大附中高二下期中文科数学试卷(解析版) 题型:选择题

化简( )

A. B. C. D.

查看答案和解析>>

科目:高中数学 来源:2015-2016学年湖南师大附中高二下期中理科数学试卷(解析版) 题型:填空题

某程序框图如图所示,若输入的值分别为3,4,5,则输出的值为________.

查看答案和解析>>

科目:高中数学 来源:2015-2016学年湖南师大附中高二下期中理科数学试卷(解析版) 题型:选择题

化简( )

A. B. C. D.

查看答案和解析>>

科目:高中数学 来源:2016届安徽省淮南市高三下学期二模文科数学试卷(解析版) 题型:解答题

如图,三棱柱中,平面分别为的中点,点在棱上,且.

(1)求证:平面

(2)在棱上是否存在一个点,使得平面将三棱柱分割成的两部分体积之比为,若存在,指出点的位置;若不存在,说明理由.

查看答案和解析>>

科目:高中数学 来源:2016届安徽省淮南市高三下学期二模文科数学试卷(解析版) 题型:选择题

一个三棱锥的三视图如图所示,则该棱锥的外接球的体积为( )

A. B. C. D.

查看答案和解析>>

科目:高中数学 来源:2016届安徽省淮南市高三下学期二模理科数学试卷(解析版) 题型:解答题

从某企业生产的某种产品中抽取100件,测量这些产品的质量指标值,由测量结果得到如图所示的频率分布直方图,质量指标值落在区间内的频率之比为.

(1)求这些产品质量指标值落在区间内的频率;

(2)若将频率视为频率,从该企业生产的这种产品中随机抽取3件,记这3件产品中质量指标值位于区间内的产品件数为,求的分布列与数学期望.

查看答案和解析>>

科目:高中数学 来源:2016届江苏省高三上学期12月月考数学试卷(解析版) 题型:填空题

已知集合,则等于

查看答案和解析>>

同步练习册答案