精英家教网 > 高中数学 > 题目详情

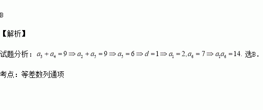
在等差数列中,若,则=( )

A.18 B.14 C.2 D.27

练习册系列答案
相关习题

科目:高中数学 来源:2015-2016学年宁夏育才中学高二上期中考试文科数学试卷(解析版) 题型:选择题

若实数x,y满足的取值范围是( )

A. B. C. D.

查看答案和解析>>

科目:高中数学 来源:2015-2016学年广东省高一10月月考数学试卷(解析版) 题型:填空题

已知f (x)是定义在上的奇函数,当时,f (x)的图象如图所示,那么f (x)的值域是

查看答案和解析>>

科目:高中数学 来源:2016届山东省高三10月月考文科数学试卷(解析版) 题型:填空题

设实数满足的最大值为

查看答案和解析>>

科目:高中数学 来源:2016届山东省高三10月月考理科数学试卷(解析版) 题型:选择题

函数的零点有( )

A.0个 B.1个 C.2个 D.3个

查看答案和解析>>

科目:高中数学 来源:2016届辽宁省抚顺市高三10月月考文科数学试卷(解析版) 题型:选择题

函数的图象如图所示,为了得到的图象,只需把的图象上所有点( )

A.向右平移个单位长度

B.向右平移个单位长度

C.向左平移个单位长度

D.向左平移个单位长度

查看答案和解析>>

科目:高中数学 来源:2016届辽宁省抚顺市高三10月月考理科数学试卷(解析版) 题型:解答题

是公差不为0的等差数列,满足,则该数列的前10项和等于( )

A.-10 B.-5 C.0 D.5

查看答案和解析>>

科目:高中数学 来源:2016届黑龙江省牡丹江市高三10月月考文科数学试卷(解析版) 题型:选择题

函数在区间内的图象是 ( )

查看答案和解析>>

科目:高中数学 来源:2015-2016学年广东中山一中高二上第一次段考文科数学卷(解析版) 题型:解答题

(本小题满分12分)等差数列的前n项和记为,已知,求n.

查看答案和解析>>

同步练习册答案