精英家教网 > 高中数学 > 题目详情

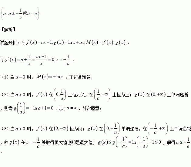
若关于的不等式在(0,+)上恒成立,则实数的取值范围是

练习册系列答案
相关习题

科目:高中数学 来源:2016届湖南省长沙市高三月考三理科数学试卷(解析版) 题型:选择题

一个二元码是由0和1组成的数字串,其中称为第k位码元,二元码是通信中常用的码,但在通信过程中有时会发生码元错误(即码元由0变为1,或者由1变为0)

已知某种二元码的码元满足如下校验方程组:,其中运算⊕定义为:.现已知一个这种二元码在通信过程中仅在第k位发生码元错误后变成了1101101,那么利用上述校验方程组可判定k等于( )

A.4 B.5 C.6 D.7

查看答案和解析>>

科目:高中数学 来源:2016届江西省新余市高三第四次模拟考理科数学试卷(解析版) 题型:填空题

已知是双曲线的左、右焦点,若点关于直线的对称点也在双曲线上,则该双曲线的离心率为_______________.

查看答案和解析>>

科目:高中数学 来源:2016届湖南省高三上第三次月考理数学试卷(解析版) 题型:选择题

如果数列满足,且(≥2),则这个数列的第

10项等于 ( )

A. B. C. D.

查看答案和解析>>

科目:高中数学 来源:2016届黑龙江省哈尔滨市高三12月月考文科数学试卷(解析版) 题型:解答题

如图,已知棱柱的底面是菱形,且面ABCD,为棱的中点,为线段的中点.

(1)求证:平面平面

(2)求三棱锥的体积.

查看答案和解析>>

科目:高中数学 来源:2016届黑龙江省高三12月月考理科数学试卷(解析版) 题型:选择题

用反证法证明命题“若,则三个实数中最多有一个小于零”的反设内容为( )

A.三个实数中最多有一个不大于零

B.三个实数中最多有两个小于零

C.三个实数中至少有两个小于零

D.三个实数中至少有一个不大于零

查看答案和解析>>

科目:高中数学 来源:2016届河南省郑州市高三上学期联考文科数学试卷(解析版) 题型:选择题

已知,则的最小值是( )

A.4 B.3 C.2 D.1

查看答案和解析>>

科目:高中数学 来源:2015-2016学年浙江省温州市十校联合体高一上学期期中考试数学试卷(解析版) 题型:选择题

根据统计,一名工人组装第件产品所用的时间(单位:分钟)为为常数).已知工人组装第4件产品用时30分钟,组装第件产品用时5分钟,那么的值分别是

A.75,25 B.75,16 C.60,144 D.60,16

查看答案和解析>>

科目:高中数学 来源:2014-2015学年贵州省高二上学期半期考试理科数学试卷(解析版) 题型:选择题

“a>0”是“|a|>0”的( )

A.充分不必要条件 B.必要不充分条件

C.充要条件 D.既不充分也不必要条件

查看答案和解析>>

同步练习册答案