精英家教网 > 高中数学 > 题目详情
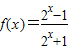
已知函数(x∈R).
(1)求函数f(x)的值域;
(2)①判断函数f(x)的奇偶性;②用定义判断函数f(x)的单调性;
(3)解不等式f(1-m)+f(1-m2)<0.
【答案】分析:(1)先由原函数式反解出2x,再利用2x的取值范围建立关于y的不等关系,解不等式即可;
(2)分别利用函数奇偶性和单调性的定义求解即可,对于奇偶性的判断,只须考虑f(-x)与f(x)的关系即得;对于单调性的证明,先在定义域中任取两个实数x1,x2,且x1<x2,再比较f(x1)-f(x2)即可;
(3)先依据函数y=f(x)在R上单调性化掉符号:“f”,将问题转化为关于m的整式不等式,再利用一元二次不等式的解法即可求得m的取值范围.
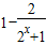
解答:解:(1)∵,(2分)
又2x>0,∴-1<y<1
∴函数f(x)的值域为(-1,1)(4分)
(2)证明:①∵,(6分)
∴函数f(x)为奇函数(7分)
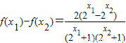
=
在定义域中任取两个实数x1,x2,且x1<x2,(8分)
(10分)
∵x1<x2,∴0<
从而f(x1)-f(x2)<0(11分)
∴函数f(x)在R上为单调增函数(12分)
(3)由(2)得函数f(x)为奇函数,在R上为单调增函数
∴f(1-m)+f(1-m2)<0即f(1-m)<-f(1-m2),
∴f(1-m)<f(m2-1),1-m<m2-1(14分)
∴原不等式的解集为(-∞,-2)∪(1,+∞)(16分)
点评:本小题主要考查函数单调性的应用、函数奇偶性的应用、不等式的解法、函数的值域等基础知识,考查运算求解能力,考查化归与转化思想.属于基础题.
练习册系列答案
相关习题

科目:高中数学 来源:2012-2013学年江西省宜春市上高二中高一(上)期末数学试卷(解析版) 题型:解答题

已知函数(x∈R).若.求cos2x的值.

查看答案和解析>>

科目:高中数学 来源:2012-2013学年广东省江门市新会一中高三(上)第四次检测数学试卷(理科)(解析版) 题型:解答题

已知函数,x∈R,且
(1)求A的值;
(2)设,求cos(α+β)的值.

查看答案和解析>>

科目:高中数学 来源:2010-2011学年贵州省遵义市遵义四中高一(上)期末数学试卷(解析版) 题型:解答题

已知函数(x∈R).
(1)求函数f(x)的最小正周期;
(2)求使函数f(x)取得最大值的x的集合;
(3)求函数f(x)的单调递增区间.

查看答案和解析>>

科目:高中数学 来源:2010-2011学年广东省汕尾市陆丰东海中学高二(上)期末数学试卷(文科)(解析版) 题型:解答题

已知函数,x∈R
(1)求函数f(x)的最大值及对应的x的取值集合;
(2)在给定的坐标系中,画出函数y=f(x)在[0,π]上的图象.

查看答案和解析>>

科目:高中数学 来源:2012年广东省高考数学试卷(文科)(解析版) 题型:解答题

已知函数,x∈R,且
(1)求A的值;
(2)设,求cos(α+β)的值.

查看答案和解析>>

同步练习册答案