精英家教网 > 高中数学 > 题目详情
如图,在长方体ABCD-A1B1C1D1中,E,F分别是棱BC,CC1上的点,CF=AB=2CE。AB:AD:AA1=1:2:4。
(1)求异面直线EF与A1D所成角的余弦值;
(2)证明AF⊥平面A1ED;
(3)求二面角A1-ED-F的正弦值。
解:(1)如图所示,建立空间直角坐标系,点A为坐标原点,设AB=1,依题意得D(0,2,0),F(1,2,1),A1(0,0,4),
(1)易得
于是
所以异面直线EF与A1D所成角的余弦值为
(2)易知

,于是
因此,AF⊥EA1,AF⊥ED
又EA1∩ED=E,
所以AF⊥平面A1ED;
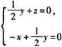
(3)设平面EFD的法向量

不妨令x=1,可得u=(1,2,-1)
由(2)可知为平面A1ED的一个法向量,于是
从而
所以二面角A1-ED-F的正弦值为
练习册系列答案
相关习题

科目:高中数学 来源: 题型:

如图在长方体ABCD-A1B1C1D1中,三棱锥A1-ABC的面是直角三角形的个数为:
4
4

查看答案和解析>>

科目:高中数学 来源: 题型:

如图,定义八个顶点都在某圆柱的底面圆周上的长方体叫做圆柱的内接长方体,圆柱也叫长方体的外接圆柱.设长方体ABCD-A1B1C1D1的长、宽、高分别为a,b,c(其中a>b>c),那么该长方体的外接圆柱侧面积的最大值等于(  )

查看答案和解析>>

科目:高中数学 来源: 题型:

若一个n面体中有m个面是直角三角形,则称这个n面体的直度为.如图,在长方体ABCD-A1B1C1D1中,四面体A1-ABC的直度为(    )

 

A.         B.               C.                 D.1

查看答案和解析>>

科目:高中数学 来源: 题型:

若一个n面体中有m个面是直角三角形,则称这个n面体的直度为.如图,在长方体ABCD-A1B1C1D1中,四面体A1-ABC的直度为(    )

 

A.            B.              C.              D.1

查看答案和解析>>

科目:高中数学 来源:2010-2011年四川省成都市高二3月月考数学试卷 题型:填空题

(文科做)(本题满分14分)如图,在长方体

ABCDA1B1C1D1中,AD=AA1=1,AB=2,点E在棱AB上移动.

(1)证明:D1EA1D;

(2)当EAB的中点时,求点E到面ACD1的距离;

(3)AE等于何值时,二面角D1ECD的大小为.                      

 

 

 

(理科做)(本题满分14分)

     如图,在直三棱柱ABCA1B1C1中,∠ACB = 90°,CB = 1,

CA =AA1 =M为侧棱CC1上一点,AMBA1

   (Ⅰ)求证:AM⊥平面A1BC

   (Ⅱ)求二面角BAMC的大小;

   (Ⅲ)求点C到平面ABM的距离.

 

 

 

 

 

查看答案和解析>>

同步练习册答案