精英家教网 > 高中数学 > 题目详情

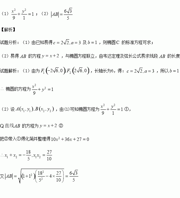
已知椭圆的两焦点分别为,长轴长为6.

(1)求椭圆的标准方程;

(2)已知过点且斜率为1的直线交椭圆两点,求线段的长度.

练习册系列答案
相关习题

科目:高中数学 来源:2015-2016学年浙江省嘉兴市高二上12月月考数学卷(解析版) 题型:选择题

某三棱锥的三视图如图所示,则该三棱锥的表面积是( )

A. B. C. D.

查看答案和解析>>

科目:高中数学 来源:2015-2016学年河北省、永年二中高二上期中理科数学试卷(解析版) 题型:解答题

已知数列的前n项和是,满足.[

(1)求数列的通项

(2)设,求的前n项和

查看答案和解析>>

科目:高中数学 来源:2015-2016年湖南省株洲市高二上第二次月考文数学卷(解析版) 题型:选择题

若变量满足约束条件的最大值为,最小值为,则的值

是( )

(A) (B) (C) (D)

查看答案和解析>>

科目:高中数学 来源:2015-2016学年湖南省高二上期中数学试卷(解析版) 题型:解答题

已知各项均为正数的数列满足

(1)求证:数列是等比数列;

(2)当取何值时,取最大值,并求出最大值;

(3)若对任意恒成立,求实数的取值范围.

查看答案和解析>>

科目:高中数学 来源:2015-2016学年河南省高二上期中理科数学试卷(解析版) 题型:解答题

已知函数.

(1)试求在区间上的最大值;

(2)若函数在区间上单调递增,试求m的取值范围.

查看答案和解析>>

科目:高中数学 来源:2015-2016学年河南省林州市高一上期中数学试卷(解析版) 题型:选择题

偶函数在区间上单调递减,则有

A.

B.

C.

D.

查看答案和解析>>

科目:高中数学 来源:2015-2016学年福建省高一上期中数学试卷(解析版) 题型:选择题

已知x,y满足约束条件,若z=ax+y的最大值为4,则a的值为( )

A.3 B.2 C.-2 D.-3

查看答案和解析>>

科目:高中数学 来源:2015-2016学年广东省惠州市高二上期中理科数学试卷(解析版) 题型:选择题

,则“”是“”的( )

A.充分而不必要条件 B.必要而不充分条件

C.充要条件 D.既不充分也不必要条件

查看答案和解析>>

同步练习册答案