精英家教网 > 高中数学 > 题目详情

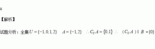
设全集,集合,则()=( )

A. B. C. D.

练习册系列答案
相关习题

科目:高中数学 来源:2015-2016学年广东省深圳市高一上学期期中数学试卷(解析版) 题型:选择题

如果,那么正确的结论是( ).

A. B. C. D.

查看答案和解析>>

科目:高中数学 来源:2015-2016学年江苏省泰州市姜堰区高二上学期期中考试理科数学试卷(解析版) 题型:填空题

设p:x<3,q:-1<x<3,则p是q成立的 条件(用“充分不必要”、“必要不充分”、“充要”、“既不充分也不必要”填空).

查看答案和解析>>

科目:高中数学 来源:2015-2016学年河北省高二10月月考文科数学试卷(解析版) 题型:选择题

学校为了调查学生在课外读物方面的支出情况,抽出了一个容量为n的样本,其频率分布直方图如图所示,其中支出在元的同学有39人,则n的值为( )

A.100 B.120 C.130 D.390

查看答案和解析>>

科目:高中数学 来源:2015-2016学年广东省英德市高一上学期第一次月考数学试卷(解析版) 题型:解答题

(本小题满分12分)

集合若A={x|x2-5x+6=0},B={x|ax-6=0},且A∪B=A,求由实数a组成的集合C

查看答案和解析>>

科目:高中数学 来源:2015-2016学年广东省普宁市高二上期中考试理科数学试卷(解析版) 题型:选择题

命题,命题,则的 ( )

A.必要不充分条件 B.充分不必要条件

C.充要条件 D.既不充分也不必要条件

查看答案和解析>>

科目:高中数学 来源:2015-2016学年广东省高一上学期期中考试数学试卷(解析版) 题型:解答题

(本小题满分12分)

已知函数的图象过点(0,-2),(2,0)

(1)求的值;

(2)求时,的最大值与最小值.

查看答案和解析>>

科目:高中数学 来源:2015-2016学年安徽省高一上学期第一次月考数学试卷(解析版) 题型:解答题

(本小题满分12分)计算:

(Ⅰ)

(Ⅱ)

查看答案和解析>>

科目:高中数学 来源:2016届黑龙江哈尔滨六中高三上期中理科数学试卷(解析版) 题型:选择题

在直三棱柱中,若的中点,的中点,在线段上,.则异面直线所成角的正弦值为( )

A. B. C. D.

查看答案和解析>>

同步练习册答案