精英家教网 > 高中数学 > 题目详情

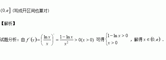
函数的单调递增区间是____

练习册系列答案
相关习题

科目:高中数学 来源:2016届浙江宁波效实中学高三上期中考试理科数学试卷(解析版) 题型:填空题

若指数函数的图象过点,则 ;不等式的解集为

查看答案和解析>>

科目:高中数学 来源:2015-2016学年湖北省高二上期中文科数学试卷(解析版) 题型:填空题

已知椭圆E的中心为坐标原点,离心率为,E的右焦点与抛物线的焦点重合,是C的准线与E的两个交点,则

查看答案和解析>>

科目:高中数学 来源:2015-2016学年陕西省高二上学期期中考试数学试卷(解析版) 题型:选择题

在△ABC中,若,则△ABC的形状是( )

A.等腰三角形 B.直角三角形

C.等腰直角三角形 D.等腰或直角三角形

查看答案和解析>>

科目:高中数学 来源:2015-2016学年辽宁省大连市高二10月月考数学试卷(解析版) 题型:选择题

某同学使用计算器求个数据的平均数时,错将其中一个数据输入为,那么由此求出的平均数减去实际平均数的值是 ( )

A. B. C. D.

查看答案和解析>>

科目:高中数学 来源:2015-2016学年湖北省枣阳市高二10月月考理科数学试卷(解析版) 题型:选择题

为了解某社区居民的家庭年收入所年支出的关系,随机调查了该社区5户家庭,得到如下统计数据表:

收入 (万元)

8.2

8.6

10.0

11.3

11.9

支出 (万元)

6.2

7.5

8.0

8.5

9.8

根据上表可得回归直线方程 ,其中 ,据此估计,该社区一户收入为15万元家庭年支出为( )

A.11.4万元 B.11.8万元 C.12.0万元 D.12.2万元

查看答案和解析>>

科目:高中数学 来源:2015-2016学年湖北省高二上学期期中理科数学试卷(解析版) 题型:选择题

命题:“”的否定为:( )

A. B.

C. D.

查看答案和解析>>

科目:高中数学 来源:2015-2016学年广东省英德市高二上学期第一次月考理科数学试卷(解析版) 题型:选择题

命题的否定是( )

A. B.

C. D.

查看答案和解析>>

科目:高中数学 来源:2015-2016学年四川成都市六校高一上学期期中联考数学试卷(解析版) 题型:选择题

下列四组函数中,表示同一函数的是( )

A.

B.

C.

D.

查看答案和解析>>

同步练习册答案