精英家教网 > 高中数学 > 题目详情
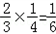
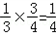
甲、乙、丙三人进行象棋比赛,每两人比赛一场,共赛三场.每场比赛胜者得3分,负者得0分,没有平局,在每一场比赛中,甲胜乙的概率为,甲胜丙的概率为,乙胜丙的概率为
(1)求甲获第一名且丙获第二名的概率;
(2)设在该次比赛中,甲得分为ξ,求ξ的分布列和数学期望.
解:(1)甲获第一,则甲胜乙且甲胜丙,
∴甲获第一的概率为
丙获第二,则丙胜乙,其概率为
∴甲获第一名且丙获第二名的概率为;
(2)ξ可能取的值为0、3、6
甲两场比赛皆输的概率为P(ξ=0)=
甲两场只胜一场的概率为
甲两场皆胜的概率为
ξ的分布列是

ξ的期望值是Eξ=+=.
练习册系列答案
相关习题

科目:高中数学 来源: 题型:

甲、乙、丙三人进行象棋比赛,每两人比赛一场,共赛三场.每场比赛胜者得3分,负者得0分,没有平局,在每一场比赛中,甲胜乙的概率为
2
3
,甲胜丙的概率为
1
4
,乙胜丙的概率为
1
5

(1)求甲获第一名且丙获第二名的概率;
(2)设在该次比赛中,甲得分为ξ,求ξ的分布列和数学期望.

查看答案和解析>>

科目:高中数学 来源:2010-2011学年广东省高三综合测试数学理卷 题型:解答题

(本题满分12分)

甲、乙、丙三人进行象棋比赛,每两人比赛一场,共赛三场.每场比赛胜者得3

    分,负者得0分,没有平局,在每一场比赛中,甲胜乙的概率为,甲胜丙的概率为

    ,乙胜丙的概率为

    (1)求甲获第一名且丙获第二名的概率:

    (2)设在该次比赛中,甲得分为ξ,求ξ的分布列和数学期望。

 

查看答案和解析>>

科目:高中数学 来源: 题型:

(本小题满分12分)

甲、乙、丙三人进行象棋比赛,每两人比赛一场,共赛三场。每场比赛胜者得3分,负者得0分,没有平局。在每一场比赛中,甲胜乙的概率为,甲胜丙的概率为,乙胜丙的概率为

(1)求甲获第一名且丙获第二名的概率;

(2)设在该次比赛中,甲得分为ξ,求ξ的分布列和数学期望。

查看答案和解析>>

科目:高中数学 来源: 题型:

(本小题满分12分)   

甲、乙、丙三人进行象棋比赛,每两人比赛一场,共赛三场.每场比赛胜者得3分,负者得0分,没有平局,在每一场比赛中,甲胜乙的概率为,甲胜丙的概率为,乙胜丙的概率为

(1)求甲获第一名且丙获第二名的概率:

(2)设在该次比赛中,甲得分为ξ,求ξ的分布列和数学期望。

查看答案和解析>>

科目:高中数学 来源:2010-2011学年湖南省十二校高三第二次联考数学试卷(理科)(解析版) 题型:解答题

甲、乙、丙三人进行象棋比赛,每两人比赛一场,共赛三场.每场比赛胜者得3分,负者得0分,没有平局,在每一场比赛中,甲胜乙的概率为,甲胜丙的概率为,乙胜丙的概率为
(1)求甲获第一名且丙获第二名的概率;
(2)设在该次比赛中,甲得分为ξ,求ξ的分布列和数学期望.

查看答案和解析>>

同步练习册答案