精英家教网 > 高中数学 > 题目详情

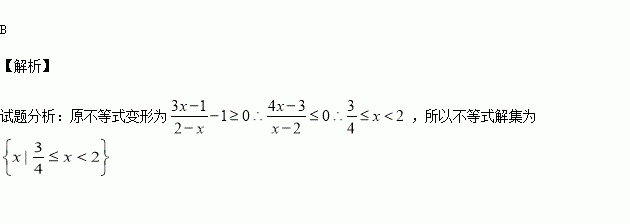
不等式的解集是( )

A. B.

C. D.

练习册系列答案
相关习题

科目:高中数学 来源:2015-2016学年山东省高一上学期期中模块考试数学试卷(解析版) 题型:填空题

____________.

查看答案和解析>>

科目:高中数学 来源:2015-2016学年福建省高一上学期期中考试数学试卷(解析版) 题型:选择题

下列函数中与具有相同图象的一个函数是( )

A. B. C. D.

查看答案和解析>>

科目:高中数学 来源:2014-2015学年上海市高二下学期期末考试数学试卷(解析版) 题型:填空题

在一个密闭的容积为1的透明正方体容器内装有部分液体,如果任意转动该正方体,液面的形状都不可能是三角形,那么液体体积的取值范围是

查看答案和解析>>

科目:高中数学 来源:2015-2016学年重庆市高二上第一次月考理科数学试卷(解析版) 题型:选择题

已知点在曲线上,点,则的最大值为( )

A. B. C. D.

查看答案和解析>>

科目:高中数学 来源:2015-2016学年辽宁省大连市高二上期中文科数学试卷(解析版) 题型:选择题

”是“方程”表示椭圆”的

(A)充分而不必要条件 (B)必要而不充分条件

(C)充要条件 (D)既不充分也不必要条件

查看答案和解析>>

科目:高中数学 来源:2015-2016学年江西省等三校高二上第一次联考数学试卷(解析版) 题型:解答题

(本小题满分12分)直线l的方程为(a+1)x+y+2-a=0(a∈R).

(1)若l在两坐标轴上的截距相等,求a的值;

(2)若l不经过第二象限,求实数a的取值范围.

查看答案和解析>>

科目:高中数学 来源:2015-2016学年湖南省高一上学期期中考试数学试卷(解析版) 题型:解答题

(1)计算:+(lg 5)0+

(2)解方程:log3(6x-9)=3.

查看答案和解析>>

科目:高中数学 来源:2016届重庆市高三上学期第三次月考理科数学试卷(解析版) 题型:选择题

已知上的可导函数,满足)恒成立,,若曲线在点处的切线为,且,则等于( )

A. B. C. D.

查看答案和解析>>

同步练习册答案