精英家教网 > 高中数学 > 题目详情

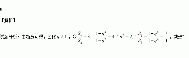
设等比数列的前n项和为,若,则 ( )

A.2 B. C. D.3

练习册系列答案
相关习题

科目:高中数学 来源:2016届浙江宁波效实中学高三上期中考试文科数学试卷(解析版) 题型:填空题

求值

查看答案和解析>>

科目:高中数学 来源:2015-2016学年四川绵阳南山中学高二上期中文科数学试卷(解析版) 题型:填空题

直线与直线平行,则______

查看答案和解析>>

科目:高中数学 来源:2015-2016学年湖北省高二上期中文科数学试卷(解析版) 题型:解答题

(本小题满分10分)设命题p:函数的定义域为R, 命题q:双曲线的离心率,

(1)如果p是真命题,求实数的取值范围;

(2)如果命题“p或q”为真命题,且“p且q”为假命题,求实数的取值范围.

查看答案和解析>>

科目:高中数学 来源:2015-2016学年湖北省高二上期中文科数学试卷(解析版) 题型:选择题

若直线与曲线C:恰好有一个公共点,则实数的值构成的集合为( )

A. B. C. D.

查看答案和解析>>

科目:高中数学 来源:2015-2016学年陕西省高二上学期期中考试数学试卷(解析版) 题型:选择题

不等式的解集为( )

A.

B.

C.

D.

查看答案和解析>>

科目:高中数学 来源:2015-2016学年湖北省枣阳市高二10月月考理科数学试卷(解析版) 题型:解答题

(本题满分12分)为考察某种甲型H1N1疫苗的效果,进行动物实验,得到如下疫苗效果的实验列联表:

感染

未感染

总计

没服用

20

30

50

服用

x

y

50

总计

M

N

100

设从没服用疫苗的动物中任取两只,感染数为从服从过疫苗的动物中任取两只,感染数为工作人员曾计算过

(1)求出列联表中数据的值;

(2)写出的均值(不要求计算过程),并比较大小,请解释所得出的结论的实际意义;

(3)能够以97.5%的把握认为这种甲型H1N1疫苗有效么?并说明理由。

参考公式:

参考数据:

0.05

0.025

0.010

3.841

5.024

6.635

查看答案和解析>>

科目:高中数学 来源:2015-2016学年广东省英德市高二上学期第一次月考理科数学试卷(解析版) 题型:选择题

双曲线的焦点坐标是( )

(A) (B) (C) (D)

查看答案和解析>>

科目:高中数学 来源:2015-2016学年四川成都市六校高二上学期期中联考文科数学试卷(解析版) 题型:选择题

若直线与曲线有公共点,则b的取值范围是

A. B. C. D.

查看答案和解析>>

同步练习册答案