精英家教网 > 高中数学 > 题目详情

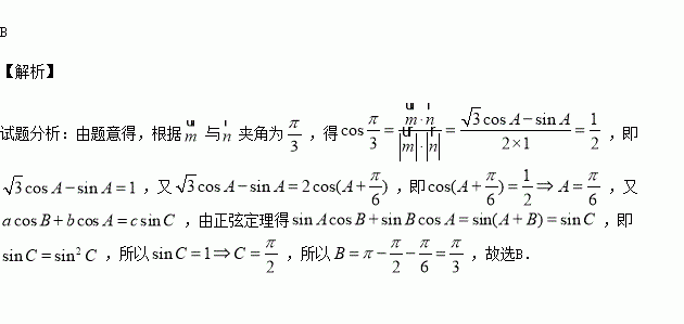
已知的三个内角的对边,向量,若夹角为,则,则角( )

A. B. C. D.

练习册系列答案
相关习题

科目:高中数学 来源:2015-2016学年安徽六安一中高一下周末统测十一数学试卷(解析版) 题型:解答题

已知函数.

(1)求的值;

(2)求的最大值和最小值.

查看答案和解析>>

科目:高中数学 来源:2015-2016学年北大附中河南分校高二普通上期末文数学卷(解析版) 题型:解答题

已知数列的前项和

(1)求的通项公式;

(2)若,求数列的前项和

查看答案和解析>>

科目:高中数学 来源:2015-2016学年北大附中河南分校高二普通上期末文数学卷(解析版) 题型:选择题

下列各点中,在不等式表示的平面区域内的点是( )

A. B. C. D.

查看答案和解析>>

科目:高中数学 来源:2015-2016学年重庆十一中高一下期中理科数学试卷(解析版) 题型:解答题

已知向量,

(1)若四边形ABCD是平行四边形,求的值;

(2)若为等腰直角三角形,且为直角,求的值.

查看答案和解析>>

科目:高中数学 来源:2015-2016学年重庆十一中高一下期中理科数学试卷(解析版) 题型:选择题

是两个夹角为120º的单位向量,若向量,且,则实数m的值为( )

A.-2 B.2 C. D.不存在

查看答案和解析>>

科目:高中数学 来源:2015-2016学年河南新乡一中高二重点下七次周练文数学卷(解析版) 题型:解答题

在直角坐标系中,曲线的参数方程为:.以为极点,轴的非负半轴为极轴建立极坐标系.

(1)求曲线的极坐标方程;

(2)直线的极坐标方程是,直线与曲线的交点为,与直线的交点为,求线段的长.

查看答案和解析>>

科目:高中数学 来源:2015-2016学年河南新乡一中高二重点下七次周练文数学卷(解析版) 题型:选择题

已知偶函数在区间单调递增,则满足的取值范围是( )

A. B. C. D.

查看答案和解析>>

科目:高中数学 来源:2015-2016学年河南新乡一中高二普通下七次周练理数学卷(解析版) 题型:填空题

曲线在点处的切线方程为_____________.

查看答案和解析>>

同步练习册答案