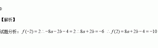
精英家教网 > 高中数学 > 题目详情

已知其中为常数,若,则的值等于( )

A. B. C. D.

练习册系列答案
相关习题

科目:高中数学 来源:2015-2016学年广东省清远市实验学校高一10月月考数学试卷A(解析版) 题型:选择题

下列函数定义域是R且在区间是递增函数的( )

A. B. C. D.

查看答案和解析>>

科目:高中数学 来源:2015-2016学年河北省高二10月月考数学试卷(解析版) 题型:解答题

(本小题满分10分)在上定义运算*:,若不等式对任意恒成立,求实数的取值范围

查看答案和解析>>

科目:高中数学 来源:2015-2016学年黑龙江省高一上学期第一阶段考数学试卷(解析版) 题型:选择题

如图是张大爷离开家晨练过程中离家距离y与行走时间x之间函数关系的图象.若用黑点表示张大爷家的位置,则张大爷散步行走的路线可能是( )

查看答案和解析>>

科目:高中数学 来源:2015-2016学年河南省高一10月月考数学试卷(解析版) 题型:选择题

设集合A=若AB,则实数a,b必满足

A、 B、 C、 D、

查看答案和解析>>

科目:高中数学 来源:2015-2016学年陕西省西安市高一10月月考数学试卷(解析版) 题型:选择题

若函数f(x)的定义域为,则f(2x+1)的定义域为 ( )

A. B [ C. D.

查看答案和解析>>

科目:高中数学 来源:2015-2016学年陕西省西安市高二10月月考文科数学试卷(解析版) 题型:选择题

是等差数列的前n项和,已知,则等于( )

A.13 B.35 C.49 D.63

查看答案和解析>>

科目:高中数学 来源:2015-2016学年湖南省益阳市高一9月月考数学试卷(解析版) 题型:解答题

已知的值

查看答案和解析>>

科目:高中数学 来源:2015-2016学年浙江省高一上学期第一次月考数学试卷(解析版) 题型:选择题

汽车经过启动、加速行驶、匀速行驶、减速行驶之后停车,若把这一过程中汽车的行驶路程s看作时间t的函数,其图象可能是 ( )

A. B. C. D.

查看答案和解析>>

同步练习册答案