精英家教网 > 高中数学 > 题目详情
由曲线y=x2-2x与直线x+y=0所围成的封闭图形的面积为( )
A.
B.
C.
D.
【答案】分析:先确定交点坐标,得到积分区间,确定被积函数,求出原函数,即可求得结论.
解答:解:由题意,曲线y=x2-2x与直线x+y=0的交点坐标为(0,0),(1,-1)
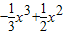
∴曲线y=x2-2x与直线x+y=0所围成的封闭图形的面积为=(=
故选D.
点评:本题考查定积分知识的运用,确定交点坐标,得到积分区间,确定被积函数,是解题的关键.
练习册系列答案
相关习题

科目:高中数学 来源: 题型:

由曲线y=x2+2x与直线y=x所围成的封闭图形的面积为(  )

查看答案和解析>>

科目:高中数学 来源: 题型:

由曲线y=x2-2x与直线x+y=0所围成的封闭图形的面积为(  )

查看答案和解析>>

科目:高中数学 来源:2012-2013学年湖南省长沙市浏阳一中高三(上)第二次月考数学试卷(理科)(解析版) 题型:选择题

由曲线y=x2+2x与直线y=x所围成的封闭图形的面积为( )
A.
B.
C.
D.

查看答案和解析>>

科目:高中数学 来源:2012年黑龙江省哈尔滨九中高考数学三模试卷(理科)(解析版) 题型:选择题

由曲线y=x2-2x与直线x+y=0所围成的封闭图形的面积为( )
A.
B.
C.
D.

查看答案和解析>>

科目:高中数学 来源:2012年陕西省西安市西工大附中高考数学十一模试卷(理科)(解析版) 题型:选择题

由曲线y=x2-2x与直线x+y=0所围成的封闭图形的面积为( )
A.
B.
C.
D.

查看答案和解析>>

同步练习册答案