精英家教网 > 高中数学 > 题目详情

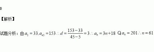
等差数列{an}中,a5=33,a45=153,则201是该列的第( )项

A.60 B.61 C.62 D.63

练习册系列答案
相关习题

科目:高中数学 来源:2016届山东省乳山市高三10月月考理科数学试卷(解析版) 题型:解答题

(本小题满分12分)已知函数

(1)求函数的极值点;

(2)若直线过点(0,—1),并且与曲线相切,求直线的方程.

查看答案和解析>>

科目:高中数学 来源:2015-2016学年广西钦州港开发区中学高二上第一次月考理科数学试卷(解析版) 题型:选择题

已知点)、,则向量方向上的投影( )

A. B. C. D.

查看答案和解析>>

科目:高中数学 来源:2015-2016学年广东省高一下学期期初考试数学试卷(解析版) 题型:选择题

设偶函数f(x)的定义域为R,当x∈[0,+∞)时,f(x)是增函数,则f(-1),f(π),f(-3.14)的大小关系是 ( )

A.f(π)>f(-3.14)>f(-1)

B.f(π)>f(-1)>f(-3.14)

C.f(π)=f(-3.14)<f(-1)

D.f(π)<f(-1)<f(-3.14)

查看答案和解析>>

科目:高中数学 来源:2015-2016学年福建省四地六校高一上学期10月第一次联考数学试卷(解析版) 题型:选择题

若集合等于 ( )

A. B.

C. D.

查看答案和解析>>

科目:高中数学 来源:2015-2016学年安徽省合肥市高二上开学考试理科数学试卷(解析版) 题型:选择题

,则( )

A. B.

C. D.

查看答案和解析>>

科目:高中数学 来源:2015-2016学年甘肃天水秦安二中高二上学期第一次月考文科数学试卷(解析版) 题型:填空题

某程序的框图如图所示,执行该程序,若输入的p为16,则输出的n的值为__________.

查看答案和解析>>

科目:高中数学 来源:2015-2016学年广东省高二9月阶段测试文科数学试卷(解析版) 题型:填空题

中,已知,则______.

查看答案和解析>>

科目:高中数学 来源:2015-2016学年吉林省高二上学期第一次月考文科数学试卷(解析版) 题型:填空题

如图,在正方体中,点P是上底面内一动点,则三棱锥的主视图与左视图的面积的比值为_________.

查看答案和解析>>

同步练习册答案