精英家教网 > 高中数学 > 题目详情

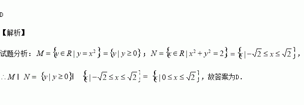
已知,则( )

A. B.

C. D.

练习册系列答案
相关习题

科目:高中数学 来源:2015-2016学年吉林实验中学高二上学期期中理科数学试卷(解析版) 题型:选择题

(1)方程所表示的曲线是

(A)一个圆

(B)一条直线

(C)一个点和一条直线

(D)一条直线和一个圆

查看答案和解析>>

科目:高中数学 来源:2016届浙江宁波效实中学高三上期中考试文科数学试卷(解析版) 题型:填空题

数列的前项和为,则 ;数列的前10项和

查看答案和解析>>

科目:高中数学 来源:2016届山东省高三第二次诊断性考试理科数学试卷(解析版) 题型:选择题

已知,则的值为

A. B. C. D.

查看答案和解析>>

科目:高中数学 来源:2016届河南省原名校高三上学期第一次联考理科数学试卷(解析版) 题型:解答题

(本小题满分12分)在中,角的对边分别为,已知向量,且

(1)求角的大小;

(2)若,求面积的最大值.

查看答案和解析>>

科目:高中数学 来源:2015-2016学年四川绵阳南山中学高二上期中文科数学试卷(解析版) 题型:选择题

双曲线的两焦点为在双曲线上,且满足, 则的面积为

A.1 B. C.2 D.4

查看答案和解析>>

科目:高中数学 来源:2015-2016学年四川绵阳南山中学高二上期中理科数学试卷(解析版) 题型:选择题

已知等比数列中,,则数列的前10项和为 ( )

A、 B、 C、 D、24

查看答案和解析>>

科目:高中数学 来源:2015-2016学年福建省师大附高二上期中理科数学试卷(解析版) 题型:选择题

中,内角所对的边分别为,若,则△ABC的形状是( )

A.直角三角形 B.等腰三角形

C.等腰直角三角形 D.等腰或直角三角形

查看答案和解析>>

科目:高中数学 来源:2015-2016学年广东省英德市高二上学期第一次月考理科数学试卷(解析版) 题型:解答题

(本小题满分12分):关于的方程有实数根;若为真,为假,求实数的取值范围.

查看答案和解析>>

同步练习册答案