精英家教网 > 高中数学 > 题目详情
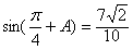
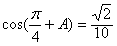
已知△ABC的三内角A,B,C所对三边分别为a,b,c,且sin(+A)=,0<A<
(1)求tanA的值;
(2)若△ABC的面积S=24,b=8,求a的值。
解:(1)∵






(2)由得c=10
∴a2=b2+c2-2bccosA=36
∴a=6。
练习册系列答案
相关习题

科目:高中数学 来源: 题型:

已知△ABC的三内角A、B、C所对的边分别为a、b、c,且
.
a+ba-c
ca-b
.
=0

(1)求角B的大小;
(2)若a+c=8,求△ABC面积的最大值.

查看答案和解析>>

科目:高中数学 来源: 题型:

已知△ABC的三内角A、B、C所对的边分别为a、b、c,且
.
a+ba-c
ca-b
.
=0

(1)求角B的大小;
(2)若b=6,求△ABC的外接圆的面积.

查看答案和解析>>

科目:高中数学 来源: 题型:

已知△ABC的三内角A,B,C成等差数列,BC=2,AC=3,
求:(1)边AB的长;
(2)△ABC的面积.

查看答案和解析>>

科目:高中数学 来源: 题型:

已知△ABC的三内角A,B,C成等差数列,则角B等于(  )

查看答案和解析>>

科目:高中数学 来源: 题型:

已知△ABC的三内角A,B,C成等差数列,则 tan(A+C)=(  )
A、
3
3
B、-
3
3
C、-
3
D、
3

查看答案和解析>>

同步练习册答案