精英家教网 > 高中数学 > 题目详情

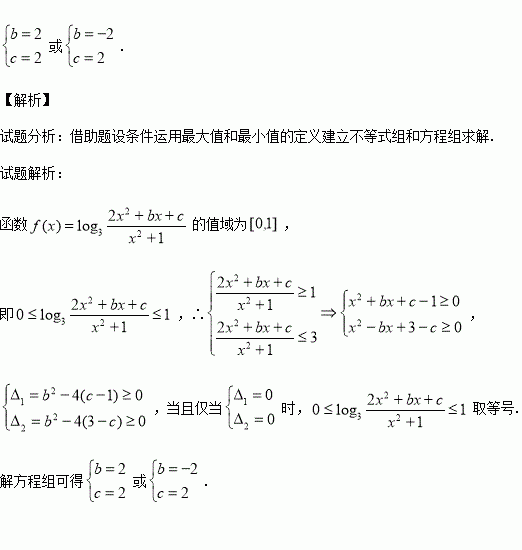
已知函数的值域为,求的值.

练习册系列答案
相关习题

科目:高中数学 来源:2016-2017学年四川省高二上学期周考数学卷3(解析版) 题型:选择题

设曲线的方程为,直线的方程为,则曲线上到直线的距离为的点的个数为( )

A.1 B.2 C.3 D.4

查看答案和解析>>

科目:高中数学 来源:2016-2017学年四川省高二上小班周考数学卷1(解析版) 题型:填空题

过点,且在两坐标轴上的截距相等的直线方程是___________.

查看答案和解析>>

科目:高中数学 来源:2017届湖北省沙市高三上学期第二次考试理科数学卷(解析版) 题型:选择题

已知为常数,函数有两个极值点,则( )

A. B.

C. D.

查看答案和解析>>

科目:高中数学 来源:2017届湖北省沙市高三上学期第二次考试理科数学卷(解析版) 题型:选择题

,则 ( )

A. B. C. D.

查看答案和解析>>

科目:高中数学 来源:2017届河北省高三上学期周考文科数学卷(解析版) 题型:解答题

已知,求的值.

查看答案和解析>>

科目:高中数学 来源:2017届河北省高三上学期周考文科数学卷(解析版) 题型:选择题

已知,则这三个数的大小关系是( )

A. B. C. D.

查看答案和解析>>

科目:高中数学 来源:2017届河北省高三上学期周考理科数学卷(解析版) 题型:填空题

已知集合,映射,在作用下点的象是,则集合 .

查看答案和解析>>

科目:高中数学 来源:2017届广东省高三9月月考数学(理)试卷(解析版) 题型:

选修4-1:几何证明选讲

已知外接圆劣弧上的点(不与点重合),延长, 延长的延长线于

(Ⅰ)求证:

(Ⅱ)求证:

查看答案和解析>>

同步练习册答案