精英家教网 > 高中数学 > 题目详情

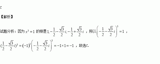
复数(其中为虚数单位)的值是( )

A. B. C.-1 D.1

练习册系列答案
相关习题

科目:高中数学 来源:2017届广西陆川县中学高三8月月考数学(理)试卷(解析版) 题型:选择题

若集合,集合,则“”是“”的( )

A.充分不必要条件 B.必要不充分条件

C.充要条件 D.既不充分也不必要条件

查看答案和解析>>

科目:高中数学 来源:2017届河南濮阳第一高级中学高三上学期检测二数学(理)试卷(解析版) 题型:选择题

,则等于( )

A. B. C. D.

查看答案和解析>>

科目:高中数学 来源:2017届广东海珠区高三上学期调研测试一数学文试卷(解析版) 题型:填空题

已知,且,则 .

查看答案和解析>>

科目:高中数学 来源:2017届广东海珠区高三上学期调研测试一数学文试卷(解析版) 题型:选择题

在平面直角坐标系中,已知点和坐标满足的动点,则目标函数的最大值为( )

A.4 B.5 C.6 D.7

查看答案和解析>>

科目:高中数学 来源:2015-2016内蒙古高一下期末数学试卷(解析版) 题型:解答题

设数列)的前项和满足,且成等差数列.

(Ⅰ)求数列的通项公式;

(Ⅱ)记数列的前项和,求.

查看答案和解析>>

科目:高中数学 来源:2015-2016内蒙古高一下期末数学试卷(解析版) 题型:选择题

如果PA、PB、PC两两垂直, 那么点P在平面ABC内的投影一定是△ABC( )

A.重心 B.内心 C.外心 D.垂心

查看答案和解析>>

科目:高中数学 来源:2017届山东肥城市高三上学期升级统测数学(文)试卷(解析版) 题型:填空题

已知函数,则的最小正周期是

查看答案和解析>>

科目:高中数学 来源:2015-2016山西省高二下期末考试理科数学卷(解析版) 题型:解答题

如图(1),等腰直角三角形的底边,点在线段上,,现将沿折起到的位置(如图(2))

(1)求证:

(2)若,直线与平面所成的角为,求长.

查看答案和解析>>

同步练习册答案