精英家教网 > 高中数学 > 题目详情

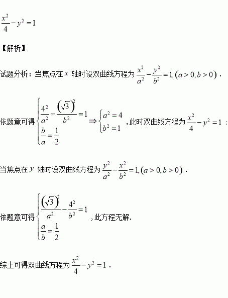
已知双曲线过点,且渐近线方程为,则该双曲线的标准方程为

练习册系列答案
相关习题

科目:高中数学 来源:2015-2016学年重庆市高一10月月考数学试卷(解析版) 题型:选择题

定义在上的函数满足:(1);(2)当时,.则集合中的最小元素是( )

A.13 B.11 C.9 D.6

查看答案和解析>>

科目:高中数学 来源:2014-2015学年山西襄汾赵曲中学高一上学期第一次月考人教版数学试卷(解析版) 题型:解答题

(8分)已知集合A={x|3≤x<10},集合B={x|2x-8≥0}.

(1)求A∪B;

(2)求∁R(A∩B).

查看答案和解析>>

科目:高中数学 来源:2015-2016学年内蒙古巴彦淖尔市高一10月月考数学试卷(解析版) 题型:选择题

设函数,若,则实数=( )

A.-4或-2 B.-2或2 C.-2或4 D.-4或2

查看答案和解析>>

科目:高中数学 来源:2015-2016学年江苏省泰州市姜堰区高二上学期期中考试文科数学试卷(解析版) 题型:填空题

若焦点在x轴上过点的椭圆焦距为2,则椭圆的标准方程为

查看答案和解析>>

科目:高中数学 来源:2015-2016学年湖北省黄石市高一10月月考数学试卷(解析版) 题型:选择题

二次函数y=x2-4x+3在区间(1,4]上的值域是( )

A.[-1,+∞) B.(0,3]

C.[-1,3] D.(-1,3]

查看答案和解析>>

科目:高中数学 来源:2015-2016学年河北省高一10月月考数学试卷(解析版) 题型:选择题

若集合A={0,1,2,3},B={1,2,4},则集合A∪B=( )

A.{0,1,2,3,4} B.{1,2,3,4} C.{1,2} D.{0}

查看答案和解析>>

科目:高中数学 来源:2015-2016学年广东省普宁市高二上期中考试理科数学试卷(解析版) 题型:解答题

(本小题满分13分)

如图,在四棱锥中,底面四边长为1的菱形,, , ,的中点,的中点

(Ⅰ)证明:直线

(Ⅱ)求异面直线AB与MD所成角的大小;

(Ⅲ)求点B到平面OCD的距离。

查看答案和解析>>

科目:高中数学 来源:2015-2016学年安徽省阜阳市高二上第一次调研考理科数学试卷(解析版) 题型:填空题

若关于的不等式的解集不是空集,则实数的取值范围是

查看答案和解析>>

同步练习册答案