精英家教网 > 高中数学 > 题目详情

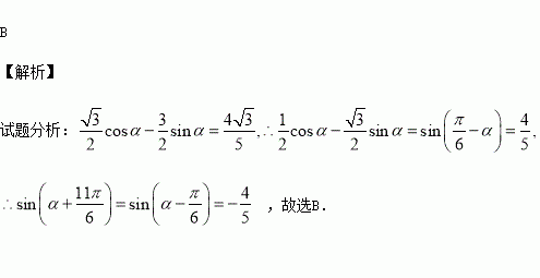
已知cos-sinα=,则sin的值是( )

A.- B.- C. D.

练习册系列答案
相关习题

科目:高中数学 来源:2016届宁夏银川市高三上学期统练二理科数学试卷(解析版) 题型:选择题

函数f(x)=x3+4x+5的图象在x=1处的切线在x轴上的截距为( )

A.10 B.5 C.-1 D.

查看答案和解析>>

科目:高中数学 来源:2016届黑龙江省高三第一段考理科数学试卷(解析版) 题型:填空题

,则的大小关系是__________________.(用“<”连接)

查看答案和解析>>

科目:高中数学 来源:2016届河北省高三上第二次月考理科数学试卷B(解析版) 题型:选择题

定义在上的单调函数,则方程的解所在区间是( )

A. B. C. D.

查看答案和解析>>

科目:高中数学 来源:2016届河北省高三上第二次月考理科数学试卷A(解析版) 题型:选择题

已知符号函数,则函数的零点个数为( )

A.1 B.2 C.3 D.4

查看答案和解析>>

科目:高中数学 来源:2016届福建省四地六校高三上学期10月联考理科数学试卷(解析版) 题型:填空题

过定点____.

查看答案和解析>>

科目:高中数学 来源:2013-2014学年辽宁省高考前最后模拟文科数学试卷(解析版) 题型:选择题

已知变量满足,则的最大值为( )

A. B. C. D.

查看答案和解析>>

科目:高中数学 来源:2016届辽宁省五校协作体高三上学期期初考试理科数学试卷(解析版) 题型:填空题

数列满足,且),则数列的前10项和为

查看答案和解析>>

科目:高中数学 来源:2015-2016学年辽宁省高二上10月月考数学试卷(解析版) 题型:解答题

已知椭圆)的半焦距为,原点到经过两点

的直线的距离为

(Ⅰ)求椭圆的离心率;

(Ⅱ)如图,是圆的一条直径,若椭圆经过两点,求椭圆的方程.

查看答案和解析>>

同步练习册答案