精英家教网 > 高中数学 > 题目详情
定义在R上的增函数y=f(x)对任意x,y∈R都有f(x+y)=f(x)+f(y),则
(1)求f(0);         
(2)证明:f(x)为奇函数;
(3)若f+f(3x-9x-2)<0对任意x∈R恒成立,求实数k的取值范围.
【答案】分析:(1)根据题意,令x=y=0可得,f(0)=f(0)+f(0),变形可得f(0),
(2)令y=-x,得f(x-x)=f(x)+f(-x),由(1)可得f(0)=0,即可得0=f(x)+f(-x),可得证明;
(3)根据题意,由f(x)的奇偶性与单调性,可将f(k•3x)+f(3x-9x-2)<0变形为f(k•3x)<f(-3x+9+2x),进而可得,由基本不等式的性质,可得有最小值,令k小于其最小值即可得k的取值范围.
解答:解:(1)在f(x+y)=f(x)+f(y)中,
令x=y=0可得,f(0)=f(0)+f(0),
则f(0)=0,
(2)令y=-x,得f(x-x)=f(x)+f(-x),
又f(0)=0,则有0=f(x)+f(-x),
即可证得f(x)为奇函数;
(3)因为f(x)在R上时增函数,又由(2)知f(x)是奇函数,
f(k•3x)<-f(3x-9x-2)=f(-3x+9+2x),
即有k•3x<-3x+9x+2,得
又有,即有最小值2-1,
所以要使f(k•3x)+f(3x-9x-2)<0恒成立,只要使即可,
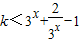
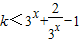
故k的取值范围是(-∞,2-1).
点评:本题考查函数的恒成立问题与抽象函数的应用,关键是用赋值法求出f(0),进而来判断函数的奇偶性.
练习册系列答案
相关习题

科目:高中数学 来源: 题型:

定义在R上的增函数y=f(x),对任意x,y∈R,都有f(x+y)=f(x)+f(y)
(1)求f(0);
(2)判断f(x)的奇偶性并给予证明;
(3)若f(k3x)+f(3x-9x-2)<0,对任意的x∈R恒成立,求实数k的取值范围.

查看答案和解析>>

科目:高中数学 来源: 题型:

定义在R上的增函数y=f(x)对任意x,y∈R都有f(x+y)=f(x)+f(y),则
(1)求f(0);         
(2)证明:f(x)为奇函数;
(3)若f(k•3x)+f(3x-9x-2)<0对任意x∈R恒成立,求实数k的取值范围.

查看答案和解析>>

科目:高中数学 来源: 题型:

(12分)定义在R上的增函数y=f(x)对任意x,y∈R都有f(x+y)=f(x)+f(y).

(Ⅰ)求f(0)

(Ⅱ)求证f(x)为奇函数;

(Ⅲ)若f()+f(3-9-2)<0对任意x∈R恒成立,求实数k的取值范围.

查看答案和解析>>

科目:高中数学 来源: 题型:

函数y=f(x)是定义在R上的增函数,y=f(x)的图象经过点(0,-1)和下面哪一个点时,能确定不等式|f(x+1)|<1的解集为{x|-1<x<2}(    )

A.(3,0)                      B.(4,0)

C.(3,1)                      D.(4,1)

查看答案和解析>>

科目:高中数学 来源:2014届辽宁省高一第一次月考数学试卷 题型:解答题

定义在R上的增函数y=f(x)对任意x,y∈R都有f(x+y)=f(x)+f(y).

(Ⅰ)求f(0)

(Ⅱ)求证f(x)为奇函数;

(Ⅲ)若f()+f(3-9-2)<0对任意x∈R恒成立,求实数k的取值范围.

 

查看答案和解析>>

同步练习册答案