精英家教网 > 高中数学 > 题目详情

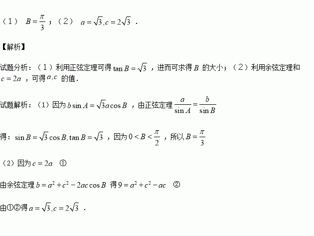
中,内角对边分别为,且

(1)求角的大小;

(2)若,求的值;

练习册系列答案
相关习题

科目:高中数学 来源:2015-2016学年东北育才学校高二下段考二试数学文试卷(解析版) 题型:解答题

在直角坐标系xOy中,直线l的方程为x﹣y+4=0,曲线C的参数方程为

(1)已知在极坐标系(与直角坐标系xOy取相同的长度单位,且以原点O为极点,以x轴正半轴为极轴)中,点P的极坐标为,判断点P与直线l的位置关系;

(2)设点Q是曲线C上的一个动点,求它到直线l的距离的最小值.

查看答案和解析>>

科目:高中数学 来源:2015-2016学年广西柳州铁路一中高一下期末数学试卷(解析版) 题型:选择题

已知,则( )

A. B. C. D.

查看答案和解析>>

科目:高中数学 来源:2015-2016学年湖南衡阳八中高二下期末数学(理)试卷(解析版) 题型:选择题

若非零向量满足,则夹角的余弦值为( )

A. B. C. D.

查看答案和解析>>

科目:高中数学 来源:2015-2016学年湖南衡阳八中高二下期末数学(理)试卷(解析版) 题型:选择题

已知集合,则( )

A. B.

C. D.

查看答案和解析>>

科目:高中数学 来源:2015-2016学年湖南衡阳八中高二下期末数学(文)试卷(解析版) 题型:填空题

在正方体中,分别为的中点,那么异面直线所成的角等于______.

查看答案和解析>>

科目:高中数学 来源:2015-2016学年湖南衡阳八中高二下期末数学(文)试卷(解析版) 题型:选择题

函数的零点所在的一个区间是( )

A. B. C. D.

查看答案和解析>>

科目:高中数学 来源:2016届山西晋城市高三下学期第二次模拟数学(文)试卷(解析版) 题型:填空题

已知之间的一组数据:

根据数据可求得关于的线性回归方程为,则的值为 .

查看答案和解析>>

科目:高中数学 来源:2017届河北衡水中学高三上学期第二次调研数学(理)试卷(解析版) 题型:解答题

设数列的前和为.

(1)求证:数列为等差数列, 并分别写出关于的表达式;

(2)是否存在自然数,使得?若存在,求出的值; 若不存在, 请说明理由;

(3)设,若不等式,对恒成立, 求的最大值.

查看答案和解析>>

同步练习册答案