精英家教网 > 高中数学 > 题目详情
已知B为双曲线(a>0,b>0)的左准线与x轴的交点,点A(0,b),若满足=2的点P在双曲线上,则该双曲线的离心率为   
【答案】分析:由题意可得B(,0),由=2可得B为PA的中点,设P(x,y),由中点坐标公式可得,解之,代入双曲线的方程化简可得.
解答:解:由题意可得B(,0),由=2可得B为PA的中点,
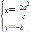
设P(x,y),由中点坐标公式可得
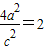
解得,代入双曲线的方程可得=1,
,解得
故答案为:
点评:本题为双曲线的离心率的求解,由已知得出关于a,c的等量关系是解决问题的关键,属基础题.
练习册系列答案
相关习题

科目:高中数学 来源:2012-2013学年江苏省淮安市清江附中高三(上)第二次调研数学试卷(解析版) 题型:填空题

已知B为双曲线(a>0,b>0)的左准线与x轴的交点,点A(0,b),若满足=2的点P在双曲线上,则该双曲线的离心率为   

查看答案和解析>>

科目:高中数学 来源:2012-2013学年江苏省宿迁中学高三(上)第二次调研数学试卷(解析版) 题型:填空题

已知B为双曲线(a>0,b>0)的左准线与x轴的交点,点A(0,b),若满足=2的点P在双曲线上,则该双曲线的离心率为   

查看答案和解析>>

科目:高中数学 来源:2012-2013学年江苏省徐州市诚贤中学高三(上)第二次质量检测数学试卷(解析版) 题型:填空题

已知B为双曲线(a>0,b>0)的左准线与x轴的交点,点A(0,b),若满足=2的点P在双曲线上,则该双曲线的离心率为   

查看答案和解析>>

科目:高中数学 来源:2012-2013学年江苏省淮安市清江附中高三(上)第二次调研数学试卷(解析版) 题型:填空题

已知B为双曲线(a>0,b>0)的左准线与x轴的交点,点A(0,b),若满足=2的点P在双曲线上,则该双曲线的离心率为   

查看答案和解析>>

同步练习册答案