精英家教网 > 高中数学 > 题目详情

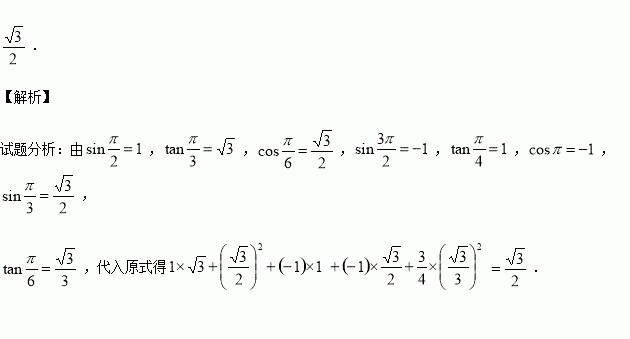
求值

练习册系列答案
相关习题

科目:高中数学 来源:2016届浙江省绍兴市高三上学期期中理科数学试卷(解析版) 题型:填空题

边长为2的正三角形内(包括三边)有点,求的范围

查看答案和解析>>

科目:高中数学 来源:2015-2016学年山西省高二上期中文科数学试卷(解析版) 题型:选择题

直线的倾斜角是

A. B. C. D.

查看答案和解析>>

科目:高中数学 来源:2015-2016学年江苏省高一10月月考数学试卷(解析版) 题型:解答题

已知集合A={a-2,2a2+5a,10},且-3∈A,求实数a的值

查看答案和解析>>

科目:高中数学 来源:2015-2016学年吉林省高一上期中文科数学试卷(解析版) 题型:选择题

若函数的一个正数零点附近的函数值用二分法逐次计算,参考数据如下表:

那么方程的一个近似根(精确度0.1)为( )

A.1.2 B.1.3 C.1.4 D.1.5

查看答案和解析>>

科目:高中数学 来源:2015-2016学年湖北孝感高中高二上学期期中文科数学试卷(解析版) 题型:填空题

若“”是真命题,则实数的最小值为

查看答案和解析>>

科目:高中数学 来源:2015-2016学年湖北孝感高中高二上学期期中理科数学试卷(解析版) 题型:选择题

下列关于概率的理解中正确的命题的个数是

①掷10次硬币出现4次正面,所以掷硬币出现正面的概率是0.4;

②某种体育彩票的中奖概率为,则买1000张这种彩票一定能中奖;

③孝感气象台预报明天孝感降雨的概率为70%是指明天孝感有70%的区域下雨,30%的区域不下雨.

A.0 B.1 C.2 D.3

查看答案和解析>>

科目:高中数学 来源:2015-2016学年安徽省蚌埠市高一上学期期中数学试卷(解析版) 题型:选择题

,则下列表示不正确的是( )

A. B. C. D.

查看答案和解析>>

科目:高中数学 来源:2015-2016学年山东省高一上学期期中考试数试卷(解析版) 题型:解答题

是定义在上的增函数,且对一切,满足

(1)求的值;

(2)若,解不等式

查看答案和解析>>

同步练习册答案