精英家教网 > 高中数学 > 题目详情

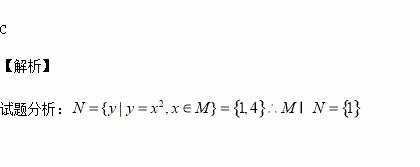
已知集合,集合,则是( )

A. B. C. D.

练习册系列答案
相关习题

科目:高中数学 来源:2015-2016学年山东省胶州市高二上学期期末考试文科数学试卷(解析版) 题型:选择题

抛物线的焦点坐标为

A. B. C. D.

查看答案和解析>>

科目:高中数学 来源:2015-2016学年湖北省宜昌市高一上期末数学试卷(解析版) 题型:选择题

已知.则的零点为

A. B. C. D.

查看答案和解析>>

科目:高中数学 来源:2015-2016学年湖南省长沙市高一上期末数学试卷(解析版) 题型:填空题

将八进制53转化为二进制的数结果是:

查看答案和解析>>

科目:高中数学 来源:2015-2016学年湖南省长沙市高一上期末数学试卷(解析版) 题型:选择题

若奇函数上为增函数,且有最小值7,则它在上( )

A.是减函数,有最小值-7 B.是增函数,有最小值-7

C.是减函数,有最大值-7 D.是增函数,有最大值-7

查看答案和解析>>

科目:高中数学 来源:2016届四川省高三4月模拟三理科数学试卷(解析版) 题型:解答题

设数列各项为正数,且.

(Ⅰ)证明:数列为等比数列;

(Ⅱ)令,数列的前项和为,求使成立时的最小值.

查看答案和解析>>

科目:高中数学 来源:2016届四川省高三4月模拟三理科数学试卷(解析版) 题型:选择题

是不相等的两个正数,且,给出下列结论:①;②;③.其中所有正确结论的序号是( )

A.①② B.①③ C.②③ D.①②③

查看答案和解析>>

科目:高中数学 来源:2016届山东省滨州市高三第二次模拟考试文科数学试卷(解析版) 题型:填空题

已知正实数满足,当取得最小值时,曲线过点,则的 值为_____.

查看答案和解析>>

科目:高中数学 来源:2016届海南省高三考前模拟八文科数学试卷(解析版) 题型:解答题

如图,在四棱锥中,已知.底面,且的中点,上,且.

(1)求证:平面平面

(2)求证:平面

(3)求三棱锥的体积.

查看答案和解析>>

同步练习册答案