精英家教网 > 高中数学 > 题目详情

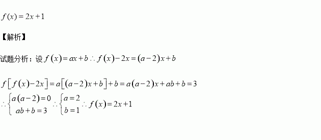
已知定义在R上的一次函数满足,则的解析式为

练习册系列答案
相关习题

科目:高中数学 来源:2016届江西省高三10月月考理科数学试卷(解析版) 题型:选择题

羊村村长慢羊羊决定从喜羊羊、美羊羊、懒羊羊、暖羊羊、沸羊羊中选派两只羊去割草,则喜羊羊和美羊羊恰好只有一只被选中的概率为( )

A. B. C. D.

查看答案和解析>>

科目:高中数学 来源:2016届河北省高三上学期三调考试理科数学试卷(解析版) 题型:选择题

,则“”是“”的( )

A.充分不必要条件 B.必要不充分条件

C.充要条件 D.非不充分不必要条件

查看答案和解析>>

科目:高中数学 来源:2015-2016学年广东中山一中高二上第一次段考理科数学卷(解析版) 题型:解答题

(12分)在中,已知

(1)求的值;

(2)若的面积,求BC的值.

查看答案和解析>>

科目:高中数学 来源:2016届山东省乳山市高三10月月考理科数学试卷(解析版) 题型:填空题

=

查看答案和解析>>

科目:高中数学 来源:2015-2016学年河北省邯郸市高二上第二次月考文科数学试卷(解析版) 题型:填空题

椭圆上的点到直线的最大距离是

查看答案和解析>>

科目:高中数学 来源:2015-2016学年河北省高一10月月考数学试卷(解析版) 题型:选择题

函数f(x)=-x2+2(a-1)x+2在(-∞,4)上是增函数,则a的范围是( )

A.a≥5 B.a≥3 C.a≤3 D.a≤-5

查看答案和解析>>

科目:高中数学 来源:2015-2016学年广西钦州港开发区中学高二上第一次月考文科数学试卷(解析版) 题型:选择题

为了得到函数的图象,可以将函数的图象( )

A.向右平移个单位

B.向左平移个单位

C.向右平移个单位

D.向左平移个单位

查看答案和解析>>

科目:高中数学 来源:2015-2016学年甘肃天水一中高二上学期第一次段中考试理科数学试卷(解析版) 题型:填空题

已知x,y满足则2x-y的最大值为

查看答案和解析>>

同步练习册答案