精英家教网 > 高中数学 > 题目详情
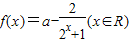
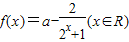
若函数 是奇函数,则实数a 的值为   
【答案】分析:由函数 是奇函数可得f(-x)=-f(x)对定义域内的任意x都成立.代入可求a的值
解答:解:由函数 是奇函数可得f(-x)=-f(x)对定义域内的任意x都成立


∴a=1
故答案为:1
点评:本题主要考查了奇函数的定义的应用,属于基础试题,注意解答本题时也可以利用奇函数的性质f(0)=0进行求解
练习册系列答案
相关习题

科目:高中数学 来源:2009-2010学年重庆一中高三(上)9月月考数学试卷(文科)(解析版) 题型:选择题

若函数是奇函数,则a=( )
A.1
B.-1
C.0
D.2

查看答案和解析>>

科目:高中数学 来源:2011-2012学年甘肃省高三9月月考试卷文科数学 题型:填空题

若函数是奇函数,则_________.

 

 

查看答案和解析>>

科目:高中数学 来源:2011-2012学年浙江省高三第一学期八校联考理科数学 题型:填空题

若函数是奇函数,则实数的值为       

 

查看答案和解析>>

科目:高中数学 来源:2010-2011学年黑龙江省高三上学期9月份月考理科数学卷 题型:选择题

若函数是奇函数,则常数的值等于(   ).

A.      B.        C.        D. 

 

查看答案和解析>>

科目:高中数学 来源:2010年浙江省高二下学期期中考试数学(文) 题型:填空题

若函数是奇函数,则              

 

查看答案和解析>>

同步练习册答案