精英家教网 > 高中数学 > 题目详情

(本小题满分14分)

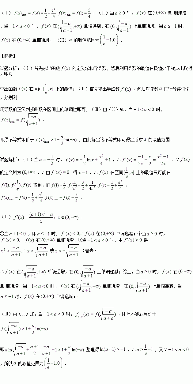
已知函数

(Ⅰ)当时,求在区间上的最值;

(Ⅱ)讨论函数的单调性;

(Ⅲ)当时,有恒成立,求的取值范围.

练习册系列答案
相关习题

科目:高中数学 来源:2016届宁夏银川一中高三上学期第三次月考文科数学试卷(解析版) 题型:选择题

对一切实数x,不等式恒成立,则实数a的取值范围是 ( )

A.(-,-2) B.[-2,+) C.[-2,2] D.[0,+

查看答案和解析>>

科目:高中数学 来源:2016届浙江省瑞安市高三上学期第一次四校联考文科数学试卷(解析版) 题型:填空题

,则的值为 ,不等式的解集为

查看答案和解析>>

科目:高中数学 来源:2015-2016学年甘肃省嘉峪关市高二上学期期中考试理科数学试卷(解析版) 题型:选择题

已知x,y满足则2x-y的最大值为( )

A.1 B.2 C.3 D.4

查看答案和解析>>

科目:高中数学 来源:2016届浙江宁波效实中学高三上期中考试理科数学试卷(解析版) 题型:填空题

已知为三角形的外心,,若,则的最小值为

查看答案和解析>>

科目:高中数学 来源:2016届山东省高三第二次诊断性考试文科数学试卷(解析版) 题型:选择题

已知是奇函数,且满足,当时,,则当时,的最小值为( )

A. B. C. D.

查看答案和解析>>

科目:高中数学 来源:2016届山东省高三第二次诊断性考试理科数学试卷(解析版) 题型:解答题

(本小题满分12分)

已知函数的最小正周期为

(Ⅰ)求的值及函数的单调递增区间;

(Ⅱ)当时,求函数的取值范围.

查看答案和解析>>

科目:高中数学 来源:2015-2016学年浙江省宁波市高一上期中数学试卷(解析版) 题型:选择题

,则下列不等式成立的是( )

A. B. C. D.

查看答案和解析>>

科目:高中数学 来源:2015-2016学年辽宁省大连市高二10月月考数学试卷(解析版) 题型:选择题

已知某公司现有职员150人,中级管理人员30人,高级管理人员10人,要从其中抽取30个人进行身体健康检查,如果采用分层抽样的方法,则职员中“中级管理人员”和“高级管理人员”各应该抽取的人数为( )

A.8,2 B.8,3 C.6,3 D.6,2

查看答案和解析>>

同步练习册答案