精英家教网 > 高中数学 > 题目详情

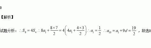
已知是公差为1的等差数列,的前项和,若,则

A. B. C. D.

练习册系列答案
相关习题

科目:高中数学 来源:2016届河南省原名校高三上学期第一次联考文科数学试卷(解析版) 题型:解答题

(本小题满分12分)已知函数

(1)判断在区间上单调性;

(2)若,函数在区间上的最大值为,求的解析式,并判断是否有最大值和最小值,请说明理由(参考数据:).

查看答案和解析>>

科目:高中数学 来源:2016届浙江宁波效实中学高三上期中考试理科数学试卷(解析版) 题型:选择题

已知正的顶点在平面上,顶点在平面的同一侧,的中点,若在平面上的射影是以为直角顶点的三角形,则直线与平面所成角的正弦值的范围是( )

A. B. C. D.

查看答案和解析>>

科目:高中数学 来源:2016届河南省原名校高三上学期第一次联考理科数学试卷(解析版) 题型:选择题

命题“,使”的否定是( )

A.,使

B.不存在,使

C.,使

D.,使

查看答案和解析>>

科目:高中数学 来源:2015-2016学年四川绵阳南山中学高二上期中文科数学试卷(解析版) 题型:解答题

(本小题满分为10分)

已知点P(-2,-3)和以点Q为圆心的圆

(Ⅰ)求以PQ为直径的圆的方程;

(Ⅱ)设⊙与⊙Q相交于点A、B,求直线AB的一般式方程。

(Ⅲ)设直线与圆Q相交于点C、D,求截得的弦CD的长度最短时的值。

查看答案和解析>>

科目:高中数学 来源:2015-2016学年四川绵阳南山中学高二上期中理科数学试卷(解析版) 题型:解答题

(本题满分10分)

给定直线,抛物线

(1)当抛物线的焦点在直线上时,求的值;

(2)若的三个顶点都在(1)所确定的抛物线上,且点的纵坐标的重心恰是抛物线的焦点,求直线的方程.

查看答案和解析>>

科目:高中数学 来源:2015-2016学年四川绵阳南山中学高二上期中理科数学试卷(解析版) 题型:选择题

已知圆和圆,则这两个圆的公切线的条数为( )

A、0 B、 C、 D、4

查看答案和解析>>

科目:高中数学 来源:2015-2016学年福建省师大附高二上期中理科数学试卷(解析版) 题型:选择题

下列函数中,最小值为的是( )

A.

B.

C.

D.

查看答案和解析>>

科目:高中数学 来源:2015-2016学年湖北省高二上学期期中理科数学试卷(解析版) 题型:解答题

函数的值域为R; :不等式,对∈(-∞,-1)上恒成立,如果命题“”为真命题,命题“”为假命题,求实数的取值范围.

查看答案和解析>>

同步练习册答案