精英家教网 > 高中数学 > 题目详情

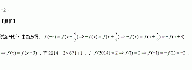
定义在上的奇函数满足,则=

练习册系列答案
相关习题

科目:高中数学 来源:2015-2016学年吉林省高一上期中文科数学试卷(解析版) 题型:选择题

在直角坐标系中,一动点从点出发,沿单位圆(圆心在坐标原点半径为1的圆)圆周按逆时针方向运动弧长,到达点,则点的坐标为( )

A. B. C. D.

查看答案和解析>>

科目:高中数学 来源:2016届江西省高三上第三次考试理科数学试卷(解析版) 题型:填空题

已知函数的定义域为, 若≥0恒成立,则a的值是

查看答案和解析>>

科目:高中数学 来源:2016届广东省广州市高三上学期期中文科数学试卷(解析版) 题型:解答题

某花店每天以每枝5元的价格从农场购进若干枝郁金香,然后以每枝10元的价格出售.如果当天卖不完,剩下的郁金香做垃圾处理.

(1)若花店一天购进17枝郁金香,求当天的利润y(单位:元)关于当天需求量n(单位:枝,n∈N)的函数解析式.

(2)花店记录了100天郁金香的日需求量(单位:枝),整理得下表:

(i)假设花店在这100天内每天购进17枝郁金香,求这100天的日利润(单位:元)的平均数;

(ii)若花店一天购进17枝郁金香,以100天记录的各需求量的频率作为各需求量发生的概率,求当天的利润不少于75元的概率.

查看答案和解析>>

科目:高中数学 来源:2015-2016学年重庆市高一上学期期中数学试卷(解析版) 题型:选择题

对于任意,函数的值非负,则实数的最小值为( )

A、 B、-5 C、-3 D、-2

查看答案和解析>>

科目:高中数学 来源:2015-2016学年山东省高一上学期期中考试数试卷(解析版) 题型:解答题

已知集合

(1)求

(2)若,求的取值范围.

查看答案和解析>>

科目:高中数学 来源:2015-2016学年吉林长春十一中高一上学期期中文科数学卷(解析版) 题型:选择题

下列不等式正确的是( )

A.

B.

C.

D.

查看答案和解析>>

科目:高中数学 来源:2015-2016学年黑龙江哈尔滨师大附中高二上期中理数学卷(解析版) 题型:解答题

一束光线从点出发,经x轴反射到圆上的最短路径是( )

A.4 B.5 C. D.

查看答案和解析>>

科目:高中数学 来源:2016届黑龙江省高三12月月考理科数学试卷(解析版) 题型:选择题

某四面体的三视图如图所示.该四面体的六条棱的长度中,最大的是( )

A. B. C. D.

查看答案和解析>>

同步练习册答案