精英家教网 > 高中数学 > 题目详情
已知椭圆的右焦点为F,右准线与x轴交于E点,若椭圆的离心率e=,且|EF|=1,
(Ⅰ)求a,b的值;
(Ⅱ)若过F的直线交椭圆于A,B两点,且与向量共线(其中O为坐标原点),求的夹角。
解:(Ⅰ)由题意知,解得,从而b=1;
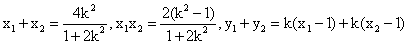
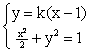
(Ⅱ)由(Ⅰ)知F(1,0),显然直线不垂直于x轴,可设直线AB:y=k(x-1) ,
A(),B(),则
消去y,得
=
于是
依题意:,故或k=0(舍),


所以的夹角为90°。
练习册系列答案
相关习题

科目:高中数学 来源: 题型:

已知椭圆的右焦点为F,右准线为l,A、B是椭圆上两点,且|AF|:|BF|=3:2,直线AB与l交于点C,则B分有向线段
AC
所成的比为(  )
A、
1
2
B、2
C、
2
3
D、
3
2

查看答案和解析>>

科目:高中数学 来源: 题型:

(08年黄冈中学二模理)如图,已知椭圆的右焦点为F,过F的直线(非x轴)交椭圆于M、N两点,右准线x轴于点K,左顶点为A.

(1)求证:KF平分∠MKN

(2)直线AM、AN分别交准线于点P、Q,设直线MN的倾斜角为,试用表示线段PQ的长度|PQ|,并求|PQ|的最小值.

 

 

查看答案和解析>>

科目:高中数学 来源: 题型:

(14分)已知椭圆的右焦点为F,上顶点为A,P为C上任一点,MN是圆的一条直径,若与AF平行且在y轴上的截距为的直线恰好与圆相切。

  (1)已知椭圆的离心率;

  (2)若的最大值为49,求椭圆C的方程。

查看答案和解析>>

科目:高中数学 来源:2010年普通高等学校招生全国统一考试(重庆卷)数学理工类模拟试卷(三) 题型:解答题

如图,已知椭圆的右焦点为F,过F的直线(非x轴)交椭圆于MN两点,右准线x轴于点K,左顶点为A

    (Ⅰ)求证:KF平分∠MKN

   (Ⅱ)直线AMAN分别交准线于点PQ

设直线MN的倾斜角为,试用表示

线段PQ的长度|PQ|,并求|PQ|的最小值.

 

查看答案和解析>>

科目:高中数学 来源:2010年广东省高考冲刺强化训练试卷十三文科数学 题型:解答题

(本小题满分14分)已知椭圆的右焦点为F,上顶点为A,P为C上任一点,MN是圆的一条直径,若与AF平行且在y轴上的截距为的直线恰好与圆相切.

  (Ⅰ)求椭圆的离心率;

  (Ⅱ)若的最大值为49,求椭圆C的方程.

 

查看答案和解析>>

同步练习册答案