精英家教网 > 高中数学 > 题目详情

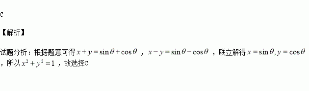
已知,则

A. B.

C. D.

练习册系列答案
相关习题

科目:高中数学 来源:2016届山东师大附中高三上学期二模文科数学试卷(解析版) 题型:选择题

设函数,则下列结论正确的是( )

A.函数上单调递增

B.函数上单调递减

C.若,则函数的图象在点处的切线方程为y=10

D.若b=0,则函数的图象与直线y=10只有一个公共点

查看答案和解析>>

科目:高中数学 来源:2015-2016学年四川成都七中高二10月段考文科数学试卷(解析版) 题型:填空题

如图,一根木棒长为米,斜靠在墙壁上,,若滑动至位置,且米,则中点所经过的路程为

查看答案和解析>>

科目:高中数学 来源:2015-2016学年江苏省高一上期中考试数学试卷(解析版) 题型:填空题

已知函数是定义在上的奇函数,当时,,那么不等式的解集是

查看答案和解析>>

科目:高中数学 来源:2014-2015学年四川省高一下学期月考测文科数学试卷(解析版) 题型:选择题

ABC中,P是BC上一点,若,则实数m的值为( )

A. B. C. D.

查看答案和解析>>

科目:高中数学 来源:2014-2015学年浙江省嵊州市高一竞赛数学试卷(解析版) 题型:选择题

函数的最小正周期为 ( )

A. B. C. D.

查看答案和解析>>

科目:高中数学 来源:2014-2015学年浙江省嵊州市高二下期末检测文科数学A卷(解析版) 题型:解答题

(本小题满分14分)

对于函数,若存在,使成立,则称的一个不动点.

设函数).

(Ⅰ)当时,求的不动点;

(Ⅱ)若有两个相异的不动点

(i)当时,设的对称轴为直线,求证:

(ii)若,且,求实数的取值范围.

查看答案和解析>>

科目:高中数学 来源:2014-2015学年四川省宜宾市高一下学期期末测试数学试卷(解析版) 题型:填空题

已知函数其中为自然对数的底数,若关于的方程有且只有一个实数根,则实数的取值范围是

查看答案和解析>>

科目:高中数学 来源:2014-2015学年贵州省高二上学期期中文科数学试卷(解析版) 题型:填空题

下边程序执行后输出的结果是( )。

查看答案和解析>>

同步练习册答案