精英家教网 > 高中数学 > 题目详情
有n(n∈N*)个不同的产品排成一排,若其中A、B两件产品排在一起的概率为,则n=   
【答案】分析:利用排列的方法求出n件不同的产品排成一排,所有的排法和A、B两件产品排在一起,所有的排法,由古典概型的概率公式求出其中A、B两件产品排在一起的概率,列出方程求出n的值.
解答:解:∵n件不同的产品排成一排,所有的排法有Ann
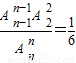
其中A、B两件产品排在一起,所有的排法有An-1n-1A22
由古典概型的概率公式得到:
有n(n∈N*)个不同的产品排成一排,若其中A、B两件产品排在一起的概率为:
所以
解得n=12.
故答案为12.
点评:本题考查排列、组合及简单计数问题,考查相邻问题,是一个比较简单的题目,这种题目一般有限制条件,首先排列有限制条件的元素;考查古典概型的概率公式.
练习册系列答案
相关习题

科目:高中数学 来源: 题型:

在平面内有n(n∈N*,n≥3)条直线,其中任何两条不平行,任何三条不过同一点,若这n条直线把平面分成f(n)个平面区域,则f(5)的值是
 
.f(n)的表达式是
 

查看答案和解析>>

科目:高中数学 来源: 题型:

在平面内有n(n∈N+,n≥3)条直线,其中任何两条不平行,任何三条不过同一点,若这n条直线把平面分成f(n)个平面区域.
则f(5)的值是
16
16
;f(n)-f(n-1)=
n-1
n-1

查看答案和解析>>

科目:高中数学 来源:2012-2013学年湖北省黄冈市麻城实验高中高三(上)12月月考数学试卷(解析版) 题型:填空题

在平面内有n(n∈N*,n≥3)条直线,其中任何两条不平行,任何三条不过同一点,若这n条直线把平面分成f(n)个平面区域,则f(5)的值是     .f(n)的表达式是    

查看答案和解析>>

科目:高中数学 来源:2009年广东省广州市高考数学二模试卷(理科)(解析版) 题型:解答题

在平面内有n(n∈N*,n≥3)条直线,其中任何两条不平行,任何三条不过同一点,若这n条直线把平面分成f(n)个平面区域,则f(5)的值是     .f(n)的表达式是    

查看答案和解析>>

科目:高中数学 来源:2011年高考数学复习:6.5 合情推理与演绎推理(1)(解析版) 题型:解答题

在平面内有n(n∈N*,n≥3)条直线,其中任何两条不平行,任何三条不过同一点,若这n条直线把平面分成f(n)个平面区域,则f(5)的值是     .f(n)的表达式是    

查看答案和解析>>

同步练习册答案