精英家教网 > 高中数学 > 题目详情
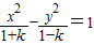
已知方程表示双曲线,则k的取值范围是( )
A.-1<k<1
B.k>0
C.k≥0
D.k>1或k<-1
【答案】分析:表示双曲线则解出.
解答:解:由双曲线标准方程的形式,表示双曲线须
∴-1<k<1.
故选A
点评:要准确把握双曲线标准方程形式.表示双曲线的充要条件是mn>0.
练习册系列答案
相关习题

科目:高中数学 来源: 题型:

已知方程表示双曲线,则k的取值范围是(  )

A.-1<k<1

B.k>0

C.k≥0

D.k>1或k<-1

查看答案和解析>>

科目:高中数学 来源: 题型:

已知方程表示双曲线,则k的取值范围是(  )

A.-1<k<1                         B.k>0                  C.k≥0                   D.k>1或k<-1

查看答案和解析>>

科目:高中数学 来源: 题型:

已知方程表示双曲线,则k的取值范围是(  )

A.-1<k<1                         B.k>0

C.k≥0                                 D.k>1或k<-1

查看答案和解析>>

科目:高中数学 来源:2009-2010学年江苏省徐州市邳州市运河中学高二(上)第二次月考数学试卷(文科)(解析版) 题型:填空题

已知方程表示双曲线,则λ的取值范围为   

查看答案和解析>>

科目:高中数学 来源:2009-2010学年陕西省宝鸡市斗鸡中学高二(下)模块数学试卷(选修1-1)(解析版) 题型:填空题

已知方程表示双曲线,则λ的取值范围为   

查看答案和解析>>

同步练习册答案