精英家教网 > 高中数学 > 题目详情

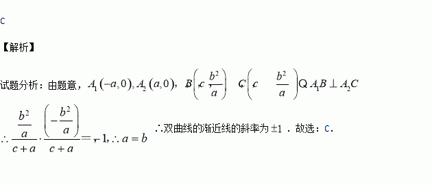
设双曲线的右焦点是F,左右顶点分别为,过F作的垂线与双曲线交于B,C两点,若,则该双曲线渐近线的斜率为( )

A. B. C. D.

练习册系列答案
相关习题

科目:高中数学 来源:2015-2016学年广东省普宁市高一上学期期中考试数学试卷(解析版) 题型:选择题

函数的定义域为( )

A.(

B.,1)

C.(,4)

D.(

查看答案和解析>>

科目:高中数学 来源:2016届重庆市高三上学期期中文科数学试卷(解析版) 题型:填空题

数列满足,且,则数列的通项公式=

查看答案和解析>>

科目:高中数学 来源:2015-2016学年河北省高一上学期期中数学试卷(解析版) 题型:选择题

函数的图像大致是

查看答案和解析>>

科目:高中数学 来源:2015-2016学年河北省高二上学期期中数学试卷(解析版) 题型:选择题

已知双曲线的一个焦点与抛物线的焦点重合,且其渐近线方程为,则该双曲线的标准方程为

A. B.

C. D.

查看答案和解析>>

科目:高中数学 来源:2016届浙江省高三期中文科数学试卷(解析版) 题型:选择题

关于x的方程有四个不同的解,则实数a的值可能是( )

A. B. C. 1 D.2

查看答案和解析>>

科目:高中数学 来源:2016届江西省高三上学期期中文科数学试卷(解析版) 题型:解答题

(本小题满分12分)设向量,其中,已知函数的最小正周期为

(1)求的对称中心;

(2)若是关于的方程的根,且,求的值.

【答案】(1);(2)

【解析】

试题分析:(1)先利用两角和与差的正弦化简函数的解析式,再根据函数最小正周期求得函数的解析式,由此求得函数的对称中心;(2)先根据方程根的概念求得的值,再由的范围求得的值,从而代入函数解析式中求得的值.

试题解析:(1)

, 得 所以 对称中心为

(2)由,又

所以,得,故

考点:1、两角两角和与差的正弦;2、三角函数的周期;3、特殊三角形函数的值.

【规律点睛】平面向量与三角函数的综合,通常利用平面向量的垂直、平行、数量积公式等知识将向量问题转化为三角函数问题,再结合三角知识求解.而求三角函数的最值(值域)、单调性、奇偶性、对称性,通常要将函数的解析式转化为的形式,然后利用整体思想求解.

【题型】解答题
【适用】较难
【标题】【百强校】2016届江西省临川一中高三上学期期中文科数学试卷(带解析)
【关键字标签】
【结束】
 

(本小题满分12分)在四棱柱中,,底面为菱形,,已知

(1)求证:平面平面

(2)求点到平面的距离.

查看答案和解析>>

科目:高中数学 来源:2016届吉林省高三上学期二模文科数学试卷(解析版) 题型:填空题

若函数f(x)=xln(x+)为偶函数,则a=

查看答案和解析>>

科目:高中数学 来源:2015-2016学年江苏启东中学高二上学期期中文科数学试卷(解析版) 题型:填空题

已知直线与圆交于两点,且,则

查看答案和解析>>

同步练习册答案