精英家教网 > 高中数学 > 题目详情

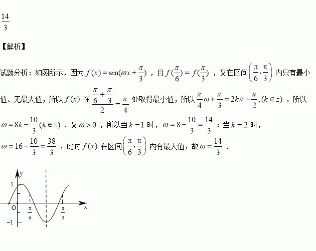
已知,且在区间有最小值,无最大值,则

练习册系列答案
相关习题

科目:高中数学 来源:2015-2016学年重庆市高二上第一次月考理科数学试卷(解析版) 题型:填空题

已知椭圆,直线为圆的一条切线,若直线的倾斜角为,且恰好经过椭圆的右顶点,则椭圆离心率为

查看答案和解析>>

科目:高中数学 来源:2015-2016学年湖南省高一上学期期中考试数学试卷(解析版) 题型:选择题

函数的值为 ( )

A.-1 B.-3 C.0 D.-8

查看答案和解析>>

科目:高中数学 来源:2015-2016学年广东省普宁市高二上期中文科数学试卷(解析版) 题型:解答题

(本题满分14分)

已知函数图像上一点处的切线方程为,其中为常数.

(Ⅰ)函数是否存在单调减区间?若存在,则求出单调减区间(用表示);

(Ⅱ)若不是函数的极值点,求证:函数的图像关于点对称.

查看答案和解析>>

科目:高中数学 来源:2015-2016学年广东省普宁市高二上期中理科数学试卷(解析版) 题型:填空题

某几何体的三视图如图所示,其正视图是边长为2的正方形,侧视图和俯视图都是等腰直角三角形,则此几何体的体积是

查看答案和解析>>

科目:高中数学 来源:2016届重庆市高三上学期第三次月考理科数学试卷(解析版) 题型:解答题

(本小题满分12分)在△中,角所对的边分别为,且

(1)求的值;

(2)若边上的中线,求△的面积.

查看答案和解析>>

科目:高中数学 来源:2016届云南省玉溪市高三上学期期中文科数学试卷(解析版) 题型:填空题

一个空间几何体的三视图如右图,其中正视图是边长为2的正三角形,俯视图是边长分别为1,2的矩形,则该几何体的侧面积为________.

查看答案和解析>>

科目:高中数学 来源:2016届辽宁省葫芦岛市高三上学期期中理科数学试卷(解析版) 题型:填空题

的所有正约数之和可按如下方法得到:因为,所以的所有正约数之和为,参照上述方法,可求得的所有正约数之和为

查看答案和解析>>

科目:高中数学 来源:2015-2016学年江西南昌二中高二上学期期中理科数学试卷(解析版) 题型:选择题

)在圆外,则直线与圆的位置关系是

A.相切 B.相交 C.相离 D.不确定

查看答案和解析>>

同步练习册答案