精英家教网 > 高中数学 > 题目详情

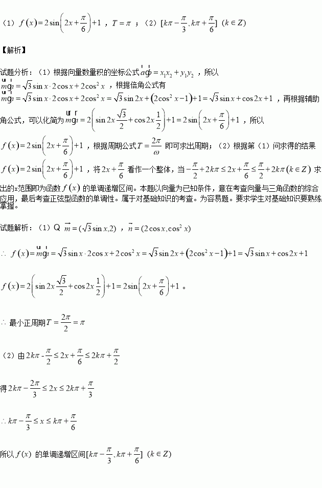
已知.

(1)求的解析式及最小正周期

(2)求的单调增区间

练习册系列答案
相关习题

科目:高中数学 来源:2015-2016学年重庆八中高二暑期阶段测十数学(文)试卷(解析版) 题型:选择题

下列函数中,既是偶函数又在区间上单调递减的是( )

A. B.

C. D.

查看答案和解析>>

科目:高中数学 来源:2015-2016学年安徽宣城市高二下学期期末数学(理)试卷(解析版) 题型:选择题

已知函数图象过点,则图象的一个对称中心是( )

A. B. C. D.

查看答案和解析>>

科目:高中数学 来源:2015-2016学年浙江湖州中学高一下学期期中数学试卷(解析版) 题型:选择题

满足不等式组,若的最大值为,最小值为,则实数的取值范围为

A. B. C. D.

查看答案和解析>>

科目:高中数学 来源:2015-2016学年浙江湖州中学高一下学期期中数学试卷(解析版) 题型:选择题

中,,则=

A. B. C. D.

查看答案和解析>>

科目:高中数学 来源:2015-2016学年四川广安邻水等区县高一下期末联考数学(理)试卷(解析版) 题型:填空题

已知,则的等差中项为________.

查看答案和解析>>

科目:高中数学 来源:2015-2016学年四川广安邻水等区县高一下期末联考数学(理)试卷(解析版) 题型:选择题

不等式的解集为,则a,c的值为( )

A.a=6,c=1 B.a=-6,c=-1

C.a=1,c=6 D.a=-1,c=-6

查看答案和解析>>

科目:高中数学 来源:2015-2016学年陕西延川县中学高一下学期期中数学(理)试卷(解析版) 题型:选择题

点(2,3,4)关于平面的对称点为( )

A.(2,3,-4) B.(-2,3,4)

C.(2,-3,4) D.(-2,-3,4)

查看答案和解析>>

科目:高中数学 来源:2016-2017学年河北武邑中学高一上周考9.4数学试卷(解析版) 题型:选择题

斜二测图的轴间角分别为( )

A.

B.

C.

D.

查看答案和解析>>

同步练习册答案