精英家教网 > 高中数学 > 题目详情

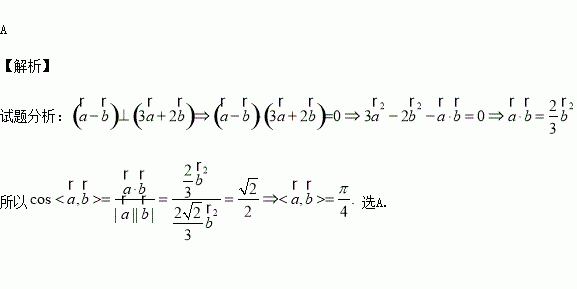
若非零向量满足,且,则的夹角为( )

A. B. C. D.

练习册系列答案
相关习题

科目:高中数学 来源:2017届广东海珠区高三上学期调研测试一数学文试卷(解析版) 题型:填空题

已知椭圆的左、右焦点分别为,上、下顶点分别是,点的中点,若,且,则椭圆的方程为 .

查看答案和解析>>

科目:高中数学 来源:2017届山东肥城市高三上学期升级统测数学(文)试卷(解析版) 题型:填空题

已知函数和函数,若的图象有且只有个交点,则的取值范围是

查看答案和解析>>

科目:高中数学 来源:2017届山东肥城市高三上学期升级统测数学(理)试卷(解析版) 题型:解答题

某公司采用招考方式引进人才,规定必须在,三个测试点中任意选取两个进行测试,若在这两个测试点都测试合格,则可参加面试,否则不被录用,已知考生在每测试个点测试结果互不影响,若考生小李和小王一起前来参加招考,小李在测试点测试合格的概率分别为,小王在上述三个测试点测试合格的概率都是.

(1)问小李选择哪两个测试点测试才能使得可以参加面试的可能性最大?请说明理由;

(2)假设小李选择测试点进行测试,小王选择测试点进行测试,记为两人在各测试点测试合格的测试点个数之和,求随机变量的分布列及数学期望.

查看答案和解析>>

科目:高中数学 来源:2017届山东肥城市高三上学期升级统测数学(理)试卷(解析版) 题型:填空题

的展开式中的的系数是

查看答案和解析>>

科目:高中数学 来源:2017届山东肥城市高三上学期升级统测数学(理)试卷(解析版) 题型:选择题

设集合,则( )

A. B. C. D.

查看答案和解析>>

科目:高中数学 来源:2015-2016山西省高二下期末考试理科数学卷(解析版) 题型:解答题

从“神州十号”飞船带回的某种植物种子每粒成功发芽的概率都为,某植物研究所对该种子进行发芽实验,每次实验种一粒种子,每次实验结果相互独立,假定某次实验种子发芽则称该次实验是成功的,如果种子没有发芽,则称该次实验是失败.若该研究所共进行四次实验,设ξ表示四次实验结束时实验成功的次数与失败的次数之差的绝对值.

(1)求随机变量的数学期望

(2)记“函数在区间上有且只有一个零点”为事件,求事件发生的概率.

查看答案和解析>>

科目:高中数学 来源:2015-2016山西省高二下期末考试理科数学卷(解析版) 题型:选择题

已知函数,则不等式的解集为( )

A. B. C. D.

查看答案和解析>>

科目:高中数学 来源:2017届宁夏高三上学期月考一数学(文)试卷(解析版) 题型:选择题

已知是由正数组成的等比数列,表示的前项的和.若,则的值是( )

A.511 B.1023 C.1533 D.3069

查看答案和解析>>

同步练习册答案