精英家教网 > 高中数学 > 题目详情

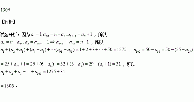
已知数列中,,则______.

练习册系列答案
相关习题

科目:高中数学 来源:2016-2017学年吉林省高二上期中数学(文)试卷(解析版) 题型:解答题

已知椭圆.

(1)当为何值时,直线与椭圆有公共点?

(2)若直线被椭圆截得的弦长为,求直线方程.

查看答案和解析>>

科目:高中数学 来源:2016-2017年河南西平县高级中学高二文十月月考数学试卷(解析版) 题型:解答题

已知函数对任意的实数都有,且.

(1)若,试求的表达式;

(2)若时,不等式恒成立,求实数的取值范围.

查看答案和解析>>

科目:高中数学 来源:2016-2017年河南西平县高级中学高二文十月月考数学试卷(解析版) 题型:选择题

已知等比数列的公比为正数,且,则( )

A. B.

C. D.

查看答案和解析>>

科目:高中数学 来源:2016-2017年河南西平县高级中学高二理十月月考数学试卷(解析版) 题型:解答题

已知的内角所对的边分别是,且满足.

(1)求的值;

(2)若,求的面积.

查看答案和解析>>

科目:高中数学 来源:2016-2017年河南西平县高级中学高二理十月月考数学试卷(解析版) 题型:选择题

已知数列为等比数列,则下列结论正确的是( )

A. B.若,则

C.若,则 D.

查看答案和解析>>

科目:高中数学 来源:2016-2017年河南西平县高级中学高二理十月月考数学试卷(解析版) 题型:选择题

已知不等式的解集为,则不等式的解集为( )

A. B.

C. D.

查看答案和解析>>

科目:高中数学 来源:2016-2017学年河南郸城县一高中高一上月考二数学试卷(解析版) 题型:选择题

设函数,若,则实数的取值范围是( )

A. B.

C. D.

查看答案和解析>>

科目:高中数学 来源:2016-2017学年甘肃天水一中高二上月考一数学(文)试卷(解析版) 题型:填空题

观察数列1,2,2,3,3,3,4,4,4,4,的特点,按此规律,则第100项为

A.10

B.14

C.13

D.100

查看答案和解析>>

同步练习册答案