精英家教网 > 高中数学 > 题目详情

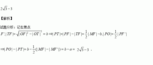
的切线过双曲线的左焦点,其中为切点,为切线与双曲线右支的交点,的中点,为坐标原点,则___________.

练习册系列答案
相关习题

科目:高中数学 来源:2016-2017学年重庆市高一10月月考数学试卷(解析版) 题型:解答题

已知二次函数的最大值是4,且不等式的解集

(1)求的解析式;

(2)若存在,使得成立,求实数的取值范围.

查看答案和解析>>

科目:高中数学 来源:2016届上海市高三模拟考试数学(理)试卷(解析版) 题型:解答题

已知为两非零有理数列(即对任意的均为有理数),为一无理数列(即对任意的为无理数).

(1)已知,并且对任意的恒成立,试求的通项公式.

(2)若为有理数列,试证明:对任意的恒成立的充要条件为

(3)已知,对任意的恒成立,试计算

查看答案和解析>>

科目:高中数学 来源:2016届上海市高三模拟考试数学(理)试卷(解析版) 题型:填空题

在极坐标系中,点为曲线的对称中心,则三角形面积等于________.

查看答案和解析>>

科目:高中数学 来源:2016-2017学年重庆巴蜀中学高二文上月考一数学试卷(解析版) 题型:解答题

已知椭圆为其左、右焦点,直线与椭圆相交于两点.

(1)线段的中点为,求直线的方程;

(2)直线过点,三角形内切圆面积最大时,求直线的方程.

查看答案和解析>>

科目:高中数学 来源:2016-2017学年重庆巴蜀中学高二文上月考一数学试卷(解析版) 题型:选择题

过抛物线的焦点作直线交抛物线准线于点,为直线与抛物线的一个交点,且满足,则等于( )

A. B. C. D.

查看答案和解析>>

科目:高中数学 来源:2016-2017学年重庆巴蜀中学高二文上月考一数学试卷(解析版) 题型:选择题

一个圆锥与一个球的体积相等,圆锥的底面半径是球半径的倍,则圆锥的高与球半径之比为( )

A.16:9 B.9:16 C.27:8 D.8:27

查看答案和解析>>

科目:高中数学 来源:2016-2017学年重庆巴蜀中学高二理上月考一数学试卷(解析版) 题型:选择题

为双曲线上的一点,是该双曲线的两个焦点.若,则的面积为( )

A. B.12 C. D.24

查看答案和解析>>

科目:高中数学 来源:2016-2017学年山东临沭一中高二理10月月考数学试卷(解析版) 题型:选择题

已知数列的前项和为,令,记数列的前项为,则( )

A.-2014 B.-2013 C.-2012 D.-2011

查看答案和解析>>

同步练习册答案