精英家教网 > 高中数学 > 题目详情

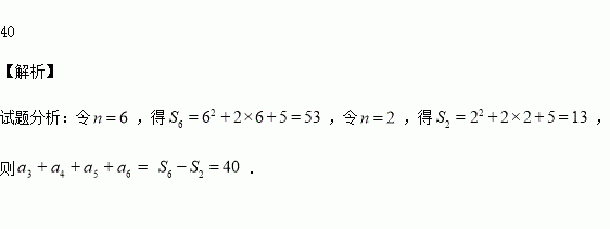
若数列的前n项和,则

练习册系列答案
相关习题

科目:高中数学 来源:2016届辽宁省抚顺市高三10月月考文科数学试卷(解析版) 题型:解答题

(本小题满分12分)已知函数

(Ⅰ)若函数上为单调增函数,求a的取值范围;

(Ⅱ)设,且,求证:

查看答案和解析>>

科目:高中数学 来源:2016届黑龙江省高三第一阶段考试理科数学试卷(解析版) 题型:解答题

(本小题满分12分)已知中, 角对边分别为,已知

(1)若的面积等于,求

(2)若,求的面积.[来源

查看答案和解析>>

科目:高中数学 来源:2016届河北省高三二调文科数学试卷(解析版) 题型:填空题

已知的三边满足,则角

查看答案和解析>>

科目:高中数学 来源:2016届河北省高三二调理科数学试卷(解析版) 题型:选择题

定义在上的单调函数,则方程的解所在区间是( )

A. B. C. D.

查看答案和解析>>

科目:高中数学 来源:2015-2016学年广东中山一中高二上第一次段考理科数学卷(解析版) 题型:填空题

如果等腰三角形的周长是底边长的5倍,那么它的顶角的余弦值为__________.

查看答案和解析>>

科目:高中数学 来源:2016届山东省乳山市高三10月月考理科数学试卷(解析版) 题型:选择题

若函数在区间[2,+∞)上单调递增,则实数的取值范围是( )

A. B. C. D.

查看答案和解析>>

科目:高中数学 来源:2015-2016学年河北省高一10月月考数学试卷(解析版) 题型:选择题

设集合M={0,1,2},N={x|x2-3x+2≤0},则M∩N=( )

A.{1} B.{2} C.{0,1} D.{1,2}

查看答案和解析>>

科目:高中数学 来源:2015-2016学年福建省四地六校高一上学期10月第一次联考数学试卷(解析版) 题型:填空题

对定义域分别为的函数,规定:函数

的解析式=

查看答案和解析>>

同步练习册答案