精英家教网 > 高中数学 > 题目详情
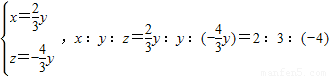
是平面α内的三点,设平面α的法向量,则x:y:z=   
【答案】分析:求出   的坐标,由 =0,及=0,用y表示出 x 和z的值,即得法向量的坐标之比.
解答:解:

故答案为 2:3:-4.
点评:本题考查平面的法向量的性质以及两个向量垂直的性质,两个向量的数量积公式的应用.
练习册系列答案
相关习题

科目:高中数学 来源:2007年综合模拟数学卷六 题型:013

已知:A、B、C是不在同一条直线上的三个点,O是平面ABC内的一定点,若+λ(),λ∈则点P的轨迹一定过△ABC的

[  ]

A.外心

B.内心

C.重心

D.垂心

查看答案和解析>>

科目:高中数学 来源:山东省济宁市重点中学2012届高三上学期期中考试数学文科试题 题型:013

已知ABC是不在同一直线上的三点,O是平面ABC内的一定点,P是平面ABC内的一动点,若(λ∈[0,+∞)),则点P的轨迹一定过△ABC

[  ]
A.

外心

B.

内心

C.

重心

D.

垂心

查看答案和解析>>

科目:高中数学 来源:福建省福州三中2012届高三第四次月考数学文科试题 题型:013

已知A,B,C是不在同一直线上的三点,O是平面ABC内的一个定点,P是平面ABC内的一个动点,若=λ()(其中λ≥0),则点P的轨迹一定经过△ABC的

[  ]

A.外心

B.内心

C.重心

D.垂心

查看答案和解析>>

科目:高中数学 来源: 题型:

l、m、n表示三条不同直线,α、β、γ表示三个不同平面,给出下列四个命题:

①若l⊥α,m⊥α,则l∥m;②若mβ,n是l在β内的射影,且m⊥l,则m⊥n;③若mα,m∥n,则n∥α;④若α⊥γ,β⊥γ,则α∥β.下列选项中都是真命题的是(    )

A.①②            B.②③                 C.①②③          D.①②③④

查看答案和解析>>

科目:高中数学 来源:山东省期中题 题型:单选题

已知A、B、C是不在同一直线上的三点,O是平面ABC内的一定点,P是平面ABC内的一动点,若
(λ∈[0,+∞)),则点P的轨迹一定过△ABC的

[     ]

A.外心
B.内心
C.重心
D.垂心

查看答案和解析>>

同步练习册答案