精英家教网 > 高中数学 > 题目详情

已知数列{}的前n项和为,且,则使不等式成立的n的最大值为           

 

【答案】

4

【解析】

试题分析:当时,,得

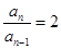
时,,所以,所以

又因为适合上式,所以,所以

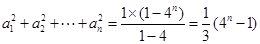
所以数列是以为首项,以4为公比的等比数列,

所以

所以,即,易知的最大值为4.

考点:1.等比数列的求和公式;2.数列的通项公式.

 

练习册系列答案
相关习题

科目:高中数学 来源: 题型:

已知数列{
anpn-1
}
的前n项和Sn=n2+2n(其中常数p>0),数列{an}的前n项和为Tn
(Ⅰ)求数列{an}的通项公式;
(Ⅱ)求Tn的表达式;
(Ⅲ)若对任意n∈N*,都有(1-p)Tn+pan≥2pn恒成立,求p的取值范围.

查看答案和解析>>

科目:高中数学 来源: 题型:

(08年上虞市质量调测二理)已知数列{}的前n项的和为,数列{}的前n项的和为,又对任意的n∈N*,点()在直线y=2x-3n上.

(I)确定常数t,使数列{}为等比数列;

(II)求证:数列{}为等比数列.

查看答案和解析>>

科目:高中数学 来源: 题型:

(07年广东卷理)已知数列{}的前n项和,第k项满足5<<8,则k=

 (A)9   (B)8   (C)7    (D)6

查看答案和解析>>

科目:高中数学 来源: 题型:

已知数列{}的前n项和,第k项满足5<<8,则k=

 (A)9   (B)8   (C)7    (D)6

查看答案和解析>>

科目:高中数学 来源:2012届广东省云浮罗定中学高三11月月考理科数学试卷 题型:解答题

(本小题满分14分)已知数列满足的前n项和。
(1)求证:数列是等比数列,并求的通项公式;
(2)如果对于任意,不等式恒成立,求实数的取值范围.

查看答案和解析>>

同步练习册答案