精英家教网 > 高中数学 > 题目详情

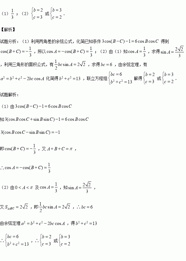
中,角的对边分别为,已知.

(1)求

(2)若的面积为,求.

练习册系列答案
相关习题

科目:高中数学 来源:2016-2017学年江西赣州寻乌中学高二上月考一文数学试卷(解析版) 题型:填空题

已知圆和点,则过点且与圆相切的直线与两坐标轴围成的三角形的面积等于 .

查看答案和解析>>

科目:高中数学 来源:2016-2017学年江西赣州寻乌中学高二上月考一文数学试卷(解析版) 题型:选择题

一个样本容量为10的样本数据,它们组成一个公差不为0的等差数列,若,且成等比数列,则此样本的平均数和中位数分别是( )

A.13,12 B.13,13

C.12,13 D.13,14

查看答案和解析>>

科目:高中数学 来源:2016-2017学年江西赣州寻乌中学高二上月考一理数学试卷(解析版) 题型:填空题

某种产品的广告费支出与销售额(单位:百万元)之间有如下对应数据,则其线性回归方程是 .

查看答案和解析>>

科目:高中数学 来源:2016-2017学年湖北咸宁市高二上月考一数学(理)试卷(解析版) 题型:解答题

如图,在四棱锥中,底面为菱形,分别是棱的中点,且平面.

(1)求证:平面

(2)求证:平面平面.

查看答案和解析>>

同步练习册答案