精英家教网 > 高中数学 > 题目详情
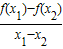
已知f(x)为R上的偶函数,对任意x∈R都有f(x+6)=f(x)+f(3)且当x1,x2∈[0,3],x1≠x2时,有>0成立,给出四个命题:
①f(3)=0; ②直线x=-6是函数y=f(x)的图象的一条对称轴;
③函数y=f(x)在[-9,-6]上为增函数;   ④函数y=f(x)在[-9,9]上有四个零点.
其中所有正确命题的序号为______.
【答案】分析:①令x=-3,代入f(x+6)=f(x)+f(3),根据函数为偶函数,得到f(3)=0;
②将f(3)=0代入,得到f(-x-6)=f(x),确定x=-6是函数y=f(x)的图象的一条对称轴;
③根据偶函数f(x)在[0,3]上为增函数,且周期为6得到函数y=f(x)在[-9,-6]上为减函数;
④根据f(3)=0,周期为6,得到f(-9)=f(-3)=f(3)=f(9)=0,有四个零点.
解答:解:①令x=-3,则由f(x+6)=f(x)+f(3)得f(3)=f(-3)+f(3)=2f(3),故f(3)=0.①正确;
②由f(3)=0,f(x)为偶函数得:f(-6-x)=f(x),故直线x=-6是函数y=f(x)的图象的一条对称轴,②正确;
③因为当x1,x2∈[0,3],x1≠x2时,有>0成立,故f(x)在[0,3]上为增函数,又f(x)为偶函数,故在[-3,0]上为减函数,又周期为6.故在[-9,-6]上为减函数,③错误;
④函数f(x)周期为6,故f(-9)=f(-3)=f(3)=f(9)=0,故y=f(x)在[-9,9]上有四个零点,④正确.
故答案为:①②④.
点评:本题考查了抽象函数的单调性,奇偶性,周期性,综合性比较强,需熟练灵活掌握.
练习册系列答案
相关习题

科目:高中数学 来源: 题型:

已知f(x)为R上的减函数,则满足f(
1
x
)>f(1)
的实数x的取值范围是(  )
A、(-∞,1)
B、(1,+∞)
C、(-∞,0)∪(0,1)
D、(-∞,0)∪(1,+∞)

查看答案和解析>>

科目:高中数学 来源: 题型:

已知f(x)为R上的减函数,则满足f(
1x2
)>f(1)
的实数x的取值范围是
(-∞,-1)∪(1,+∞)
(-∞,-1)∪(1,+∞)

查看答案和解析>>

科目:高中数学 来源: 题型:

已知 f(x)为R上的可导函数,且f(x)<f'(x)和f(x)>0对于x∈R恒成立,则有(  )
A、f(2)<e2-f(0),f(2010)>e2010-f(0)B、f(2)>e2-f(0),f(2010)>e2010-f(0)C、f(2)<e2-f(0),f(2010)<e2010-f(0)D、f(2)<e2-f(0),f(2010)<e2010-f(0)

查看答案和解析>>

科目:高中数学 来源: 题型:

已知f(x)为R上的偶函数,且当x≥0时,f(x)=x2-2x,则
(1)求f(x)在R上的解析式;
(2)写出f(x)的单调区间.

查看答案和解析>>

科目:高中数学 来源: 题型:

已知f(x)为R上的奇函数,且f(x+1)=-f(x),若存在实数a、b使得f(a+x)=f(b-x),则a、b应满足关系
a+b=1+2k(k∈N*
a+b=1+2k(k∈N*

查看答案和解析>>

同步练习册答案