精英家教网 > 高中数学 > 题目详情
若a是1+2b与1-2b的等比中项,则的最大值为( )
A.
B.
C.
D.
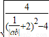
【答案】分析:由a是1+2b与1-2b的等比中项得到4|ab|≤1,再由基本不等式法求得.
解答:解:a是1+2b与1-2b的等比中项,则a2=1-4b2⇒a2+4b2=1≥4|ab|.

∵a2+4b2=(|a|+2|b|)2-4|ab|=1.
===



故选B.
点评:本题考查等比中项以及不等式法求最值问题.
练习册系列答案
相关习题

科目:高中数学 来源: 题型:

若a是1+2b与1-2b的等比中项,则
2ab
|a|+2|b|
的最大值为(  )
A、
5
15
B、
2
4
C、
5
5
D、
2
2

查看答案和解析>>

科目:高中数学 来源: 题型:

若a是1+2b 与1-2b 的等比中项,则
1
a2
+
1
b2
的最小值是
 

查看答案和解析>>

科目:高中数学 来源: 题型:

若a是1+2b与1-2b的等比中项,则的最大值为(  )

A.       B.      C.         D.

查看答案和解析>>

科目:高中数学 来源:2011-2012学年湖南省四市九校高三上学期12月月考理科数学 题型:选择题

a是1+2b与1-2b的等比中项,则的最大值为(    )

A、        B、             C、             D、

 

查看答案和解析>>

科目:高中数学 来源:2007年普通高等学校招生全国统一考试理科数学卷(重庆) 题型:选择题

若a是1+2b与1-2b的等比中项,则的最大值为(  )

A.       B.      C.         D.

 

查看答案和解析>>

同步练习册答案