精英家教网 > 高中数学 > 题目详情

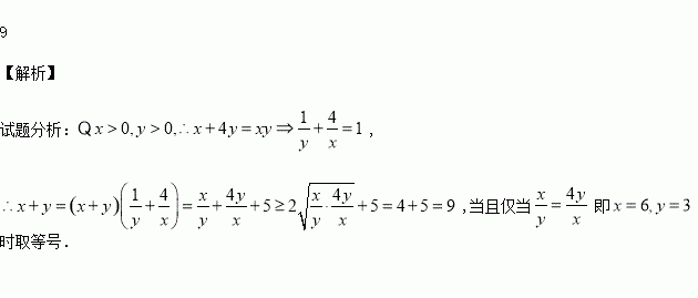
已知正数x,y满足:x+4y=xy,则x+y的最小值为

练习册系列答案
相关习题

科目:高中数学 来源:2016届云南省高三适应性月考二文科数学试卷(解析版) 题型:选择题

已知函数,若同时满足条件:①;②,则实数a的取值范围是( )

A、(-,-1),2)

B、(-,-1)(0,,2)

C、(-,0),2)

D、(-,0)(0,,2)

查看答案和解析>>

科目:高中数学 来源:2016届湖北武汉华中师大第一附中高三上期中考试文科数学试卷(解析版) 题型:选择题

已知向量,则“”是“夹角为锐角”的( )

A.充分不必要条件

B.必要不充分条件

C.充要条件

D.既不充分也不必要条件

查看答案和解析>>

科目:高中数学 来源:2016届湖北省、宜昌一中高三10月联考理科数学试卷(解析版) 题型:选择题

2012年初,甲?乙两外商在湖北各自兴办了一家大型独资企业.2015年初在经济指标对比时发现,这两家企业在2012年和2014年缴纳的地税均相同,其间每年缴纳的地税按各自的规律增长;企业甲年增长数相同,而企业乙年增长率相同.则2015年企业缴纳地税的情况是 ( )

A.甲多 B.乙多 C.甲乙一样多 D.不能确定

查看答案和解析>>

科目:高中数学 来源:2016届浙江省瑞安市高三上学期第一次四校联考文科数学试卷(解析版) 题型:解答题

(本题满分12分) 已知函数是奇函数,

(1)求的值;

(2)若,求的值.

查看答案和解析>>

科目:高中数学 来源:2016届浙江省瑞安市高三上学期第一次四校联考理科数学试卷(解析版) 题型:选择题

给定下列四个命题:

①若一个平面内的两条直线与另一个平面都平行,那么这两个平面相互平行;

②若一个平面经过另一个平面的垂线,那么这两个平面相互垂直;

③垂直于同一直线的两条直线相互平行;

④若两个平面垂直,那么一个平面内与它们的交线不垂直的直线与另一个平面也不垂直.

其中,为真命题的是 ( )

A.①和② B.②和③ C.③和④ D.②和④

查看答案和解析>>

科目:高中数学 来源:2016届江苏省高三九月月考数学试卷(解析版) 题型:填空题

已知函数是奇函数,则

查看答案和解析>>

科目:高中数学 来源:2015-2016学年辽宁师范大学附属中学高二10月月考数学试卷(解析版) 题型:填空题

命题“”的否定是

查看答案和解析>>

科目:高中数学 来源:2015-2016学年甘肃省嘉峪关市高二上学期期中考试理科数学试卷(解析版) 题型:选择题

等比数列中,,则( )

A.4 B.8 C.16 D.32

查看答案和解析>>

同步练习册答案